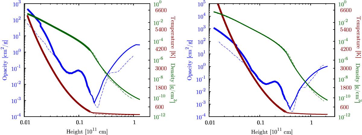
Fig. 13

Radial profile of the temperature, density, and opacity in the Σ4 simulation. Solid lines are from the analytical model with convective parts indicated by thicker lines. Dashed lines show the corresponding results of MBPL10. Left panel: when the core and envelope mass is 3.27 and 0.74 M⊕, respectively (3.21 and 0.74 M⊕ in MBPL10). Right panel: at a moment just before crossover. The core and envelope mass are 4.18 and 4.17 M⊕, respectively (4.09 M⊕ in MBPL10).
Current usage metrics show cumulative count of Article Views (full-text article views including HTML views, PDF and ePub downloads, according to the available data) and Abstracts Views on Vision4Press platform.
Data correspond to usage on the plateform after 2015. The current usage metrics is available 48-96 hours after online publication and is updated daily on week days.
Initial download of the metrics may take a while.