Free Access
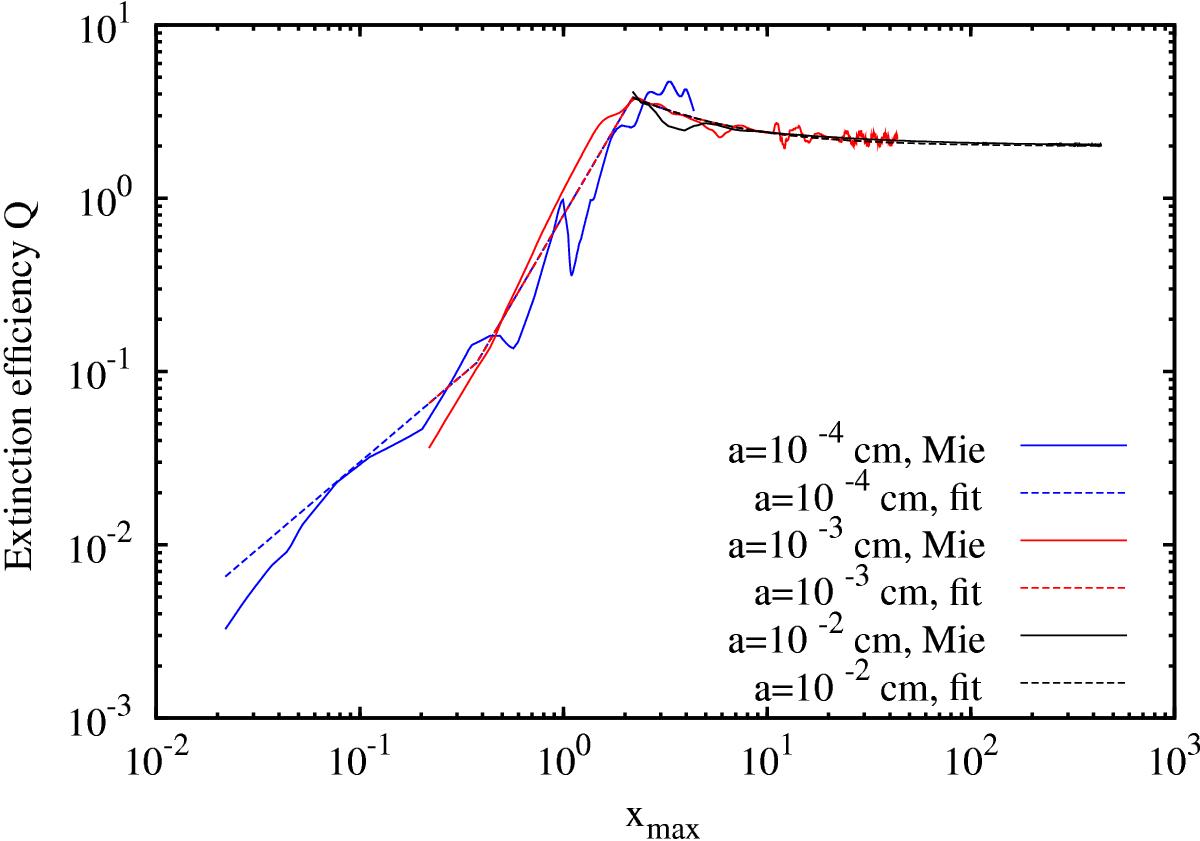
Fig. 2

Extinction efficiency Q as a function of xmax = 2πa/λmax. The coefficient is shown for grain sizes of a = 1, 10, and 100 μm, computed with Mie theory (solid lines) and with the fit of Eq. (54) (dashed lines). In all three cases, λmax corresponds to the wavelength of the maximum in the blackbody spectrum.
Current usage metrics show cumulative count of Article Views (full-text article views including HTML views, PDF and ePub downloads, according to the available data) and Abstracts Views on Vision4Press platform.
Data correspond to usage on the plateform after 2015. The current usage metrics is available 48-96 hours after online publication and is updated daily on week days.
Initial download of the metrics may take a while.