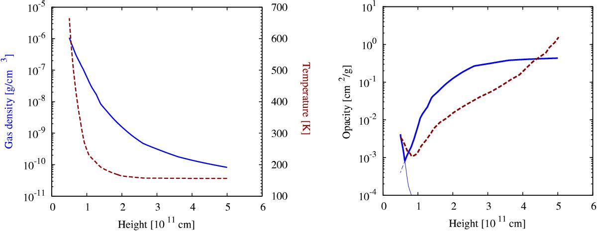
Fig. 3

MP08 comparison case. Left panel: atmospheric gas density (solid line) and temperature (dashed) as a function of height (distance from the planet’s center) in the protoplanet’s atmosphere (outer radiative zone). Right panel: opacity as a function of height in the numerical model of MP08 (dashed line: grain opacity only) and in the analytical model of this work (thick solid line: combined grain and gas opacity). The thin blue solid (dashed) line is the gas (grain) opacity alone.
Current usage metrics show cumulative count of Article Views (full-text article views including HTML views, PDF and ePub downloads, according to the available data) and Abstracts Views on Vision4Press platform.
Data correspond to usage on the plateform after 2015. The current usage metrics is available 48-96 hours after online publication and is updated daily on week days.
Initial download of the metrics may take a while.