Free Access
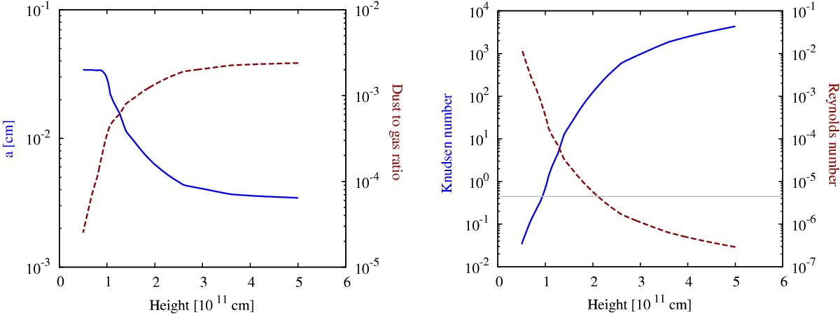
Fig. 5

MP08 comparison case. Left panel: grain radius (solid) and dust-to-gas ratio (dashed line). Right panel: Knudsen (solid) and Reynolds number (dashed line) of the grains as a function of height. The horizontal line indicates the critical Knudsen number of 4/9 where the drag regime changes.
This figure is made of several images, please see below:
Current usage metrics show cumulative count of Article Views (full-text article views including HTML views, PDF and ePub downloads, according to the available data) and Abstracts Views on Vision4Press platform.
Data correspond to usage on the plateform after 2015. The current usage metrics is available 48-96 hours after online publication and is updated daily on week days.
Initial download of the metrics may take a while.