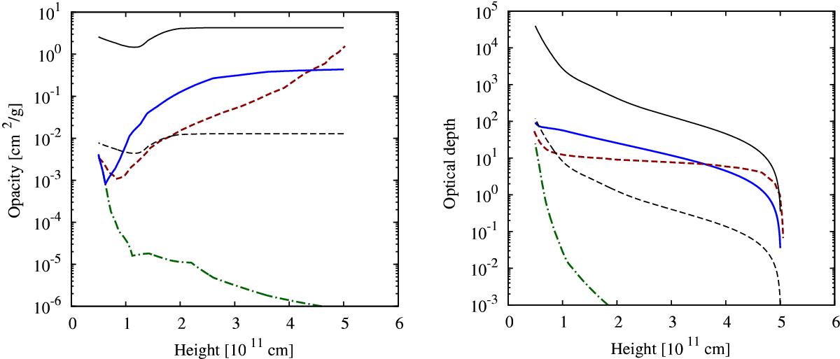
Fig. 7

MP08 comparison case. Left panel: opacity as a function of height. The brown dashed is the result of MP08. Other lines show the total opacity found in this work (blue solid line), the gas opacity only (green dash-dotted line), the full ISM opacity (thin black solid line) and the ISM opacity × 0.003 (thin black dashed line). Right panel: corresponding optical depths.
Current usage metrics show cumulative count of Article Views (full-text article views including HTML views, PDF and ePub downloads, according to the available data) and Abstracts Views on Vision4Press platform.
Data correspond to usage on the plateform after 2015. The current usage metrics is available 48-96 hours after online publication and is updated daily on week days.
Initial download of the metrics may take a while.