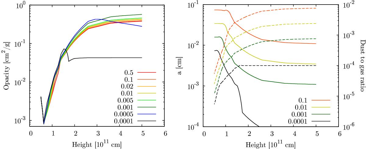
Fig. 8

MP08 comparison case. Left panel: opacity as a function of height for eight different dust-to-gas ratios in the accreted gas fD/G,disk indicated in the plot. Right panel: corresponding size of the grains (solid lines) and local dust-to-gas ratio (dashed lines) for the four dust-to-gas ratios in the accreted gas indicated in the plot.
Current usage metrics show cumulative count of Article Views (full-text article views including HTML views, PDF and ePub downloads, according to the available data) and Abstracts Views on Vision4Press platform.
Data correspond to usage on the plateform after 2015. The current usage metrics is available 48-96 hours after online publication and is updated daily on week days.
Initial download of the metrics may take a while.