Free Access
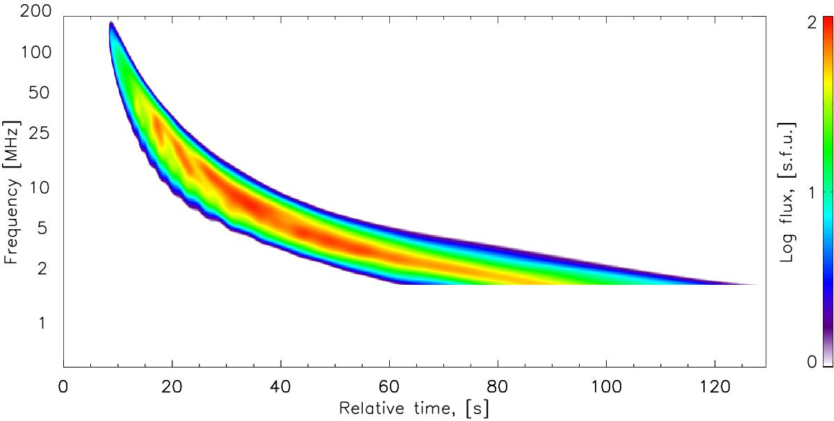
Fig. 3

Dynamic spectrum of a simulated type III radio burst for slow (τ1 = 1 s) injection of energetic electrons around 550 MHz. As in Fig. 1 the time axis is set such that emission from the injection site would appear at t = 0.
Current usage metrics show cumulative count of Article Views (full-text article views including HTML views, PDF and ePub downloads, according to the available data) and Abstracts Views on Vision4Press platform.
Data correspond to usage on the plateform after 2015. The current usage metrics is available 48-96 hours after online publication and is updated daily on week days.
Initial download of the metrics may take a while.