Free Access
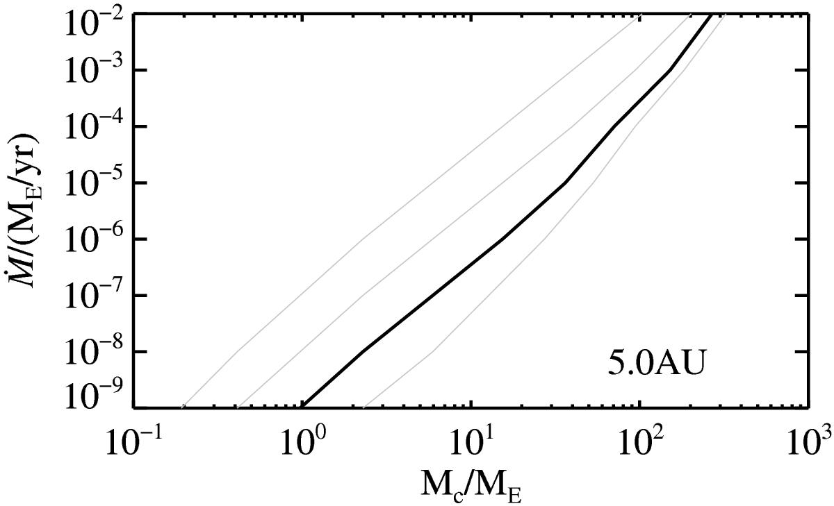
Fig. B.3

Dependency of the critical core mass on the dust opacity in H/He envelopes. Grey curves correspond to factor of ten different dust opacities to the opacity used in this study (solid black line). The critical curves are here given at 5 AU, but have little dependency on orbital radius.
Current usage metrics show cumulative count of Article Views (full-text article views including HTML views, PDF and ePub downloads, according to the available data) and Abstracts Views on Vision4Press platform.
Data correspond to usage on the plateform after 2015. The current usage metrics is available 48-96 hours after online publication and is updated daily on week days.
Initial download of the metrics may take a while.