Free Access
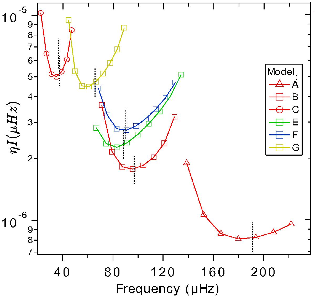
Fig. 3

Product of the damping rates (η in μHz) by the dimensionless mode inertia (I) for radial modes for all our RGB models. The minimums of the curves correspond to the frequency of maximum height found in theoretical power spectra. The dashed lines are the νmax deriving from scaling relations.
Current usage metrics show cumulative count of Article Views (full-text article views including HTML views, PDF and ePub downloads, according to the available data) and Abstracts Views on Vision4Press platform.
Data correspond to usage on the plateform after 2015. The current usage metrics is available 48-96 hours after online publication and is updated daily on week days.
Initial download of the metrics may take a while.