Free Access
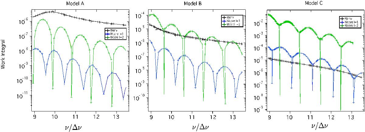
Fig. 4

Core and envelope contributions to the work integral for the three RGB models of 1.5 M⊙. The work is normalised by GM2/R. Unlike the envelope contribution, the core contribution depends on the trapping and on the angular degree of the mode.
Current usage metrics show cumulative count of Article Views (full-text article views including HTML views, PDF and ePub downloads, according to the available data) and Abstracts Views on Vision4Press platform.
Data correspond to usage on the plateform after 2015. The current usage metrics is available 48-96 hours after online publication and is updated daily on week days.
Initial download of the metrics may take a while.