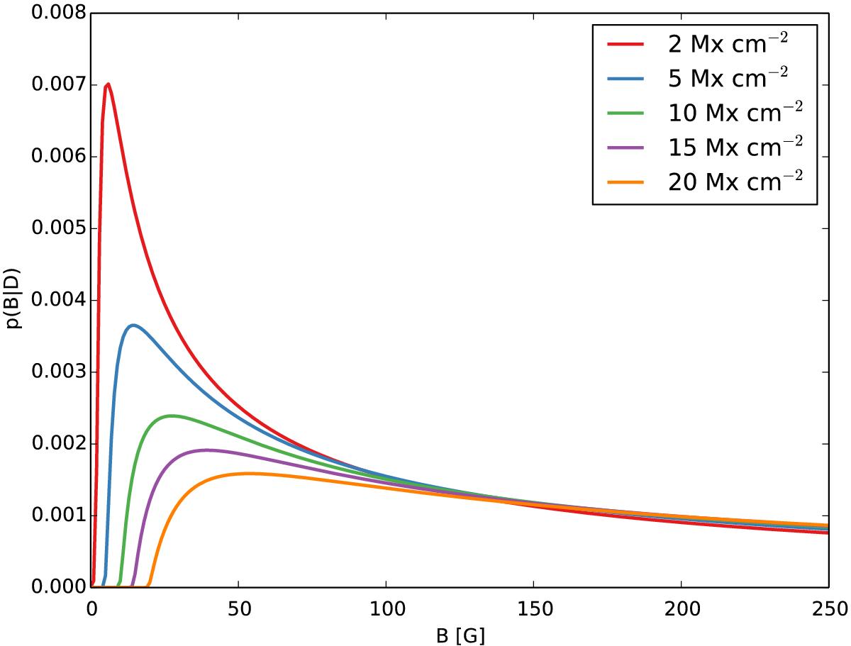
Fig. 3

Marginal posterior for the magnetic field strength when we measure different values of the product fB (indicated in the legend) with an uncertainty of 0.5 Mx cm-2. The flat prior for f implies that the most probable value for B is very low, close to what would have measured assuming f = 1. The extended tail is produced by the low possible values of f.
Current usage metrics show cumulative count of Article Views (full-text article views including HTML views, PDF and ePub downloads, according to the available data) and Abstracts Views on Vision4Press platform.
Data correspond to usage on the plateform after 2015. The current usage metrics is available 48-96 hours after online publication and is updated daily on week days.
Initial download of the metrics may take a while.