Free Access
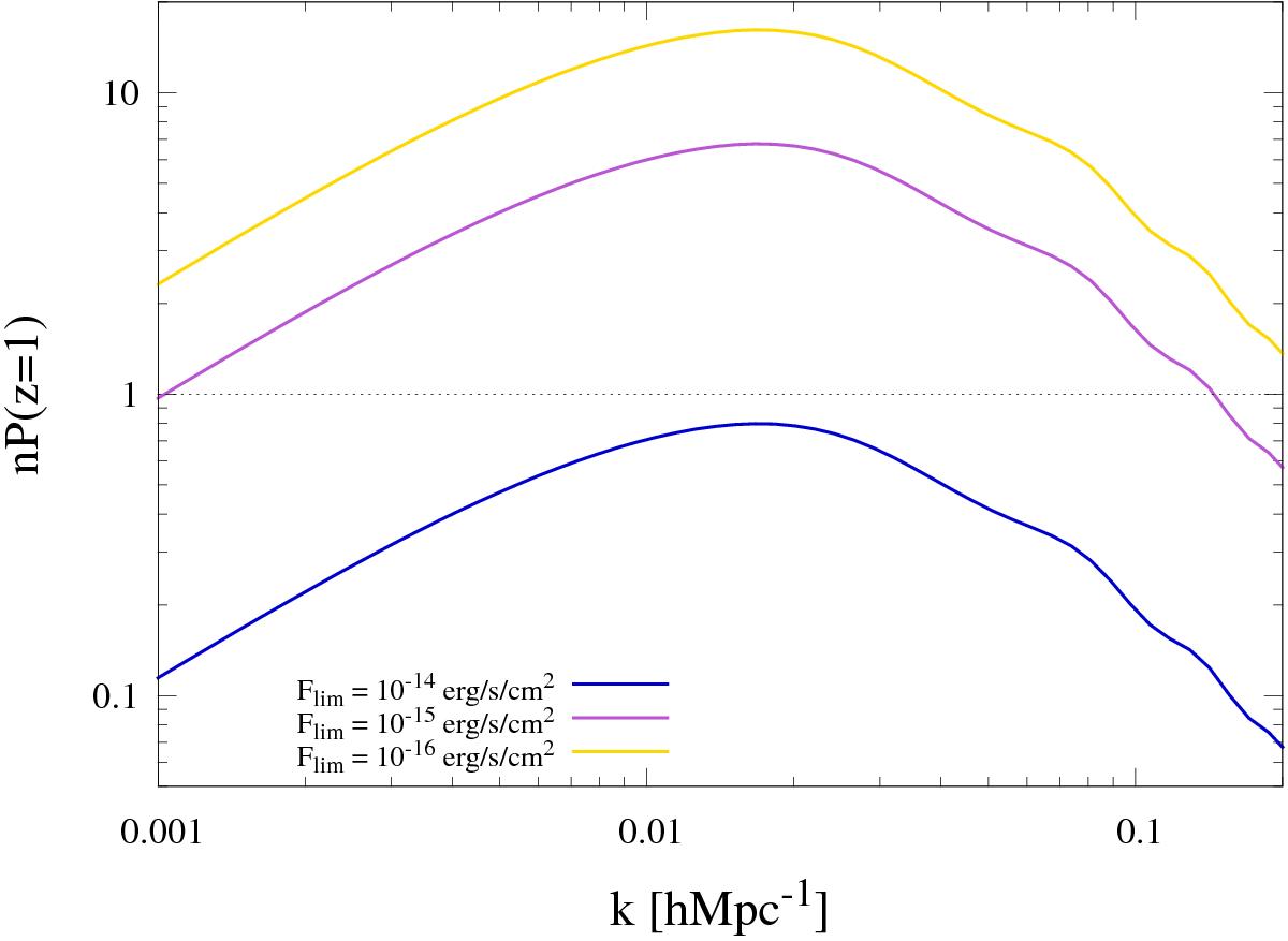
Fig. 2

Signal-to-noise per Fourier mode at redshift z = 1 for flux-limited samples of X-ray AGN. The limiting flux values are shown in the legend. The linear clustering bias is assumed to correspond to DM halos with mass Meff = 2 × 1013M⊙.
Current usage metrics show cumulative count of Article Views (full-text article views including HTML views, PDF and ePub downloads, according to the available data) and Abstracts Views on Vision4Press platform.
Data correspond to usage on the plateform after 2015. The current usage metrics is available 48-96 hours after online publication and is updated daily on week days.
Initial download of the metrics may take a while.