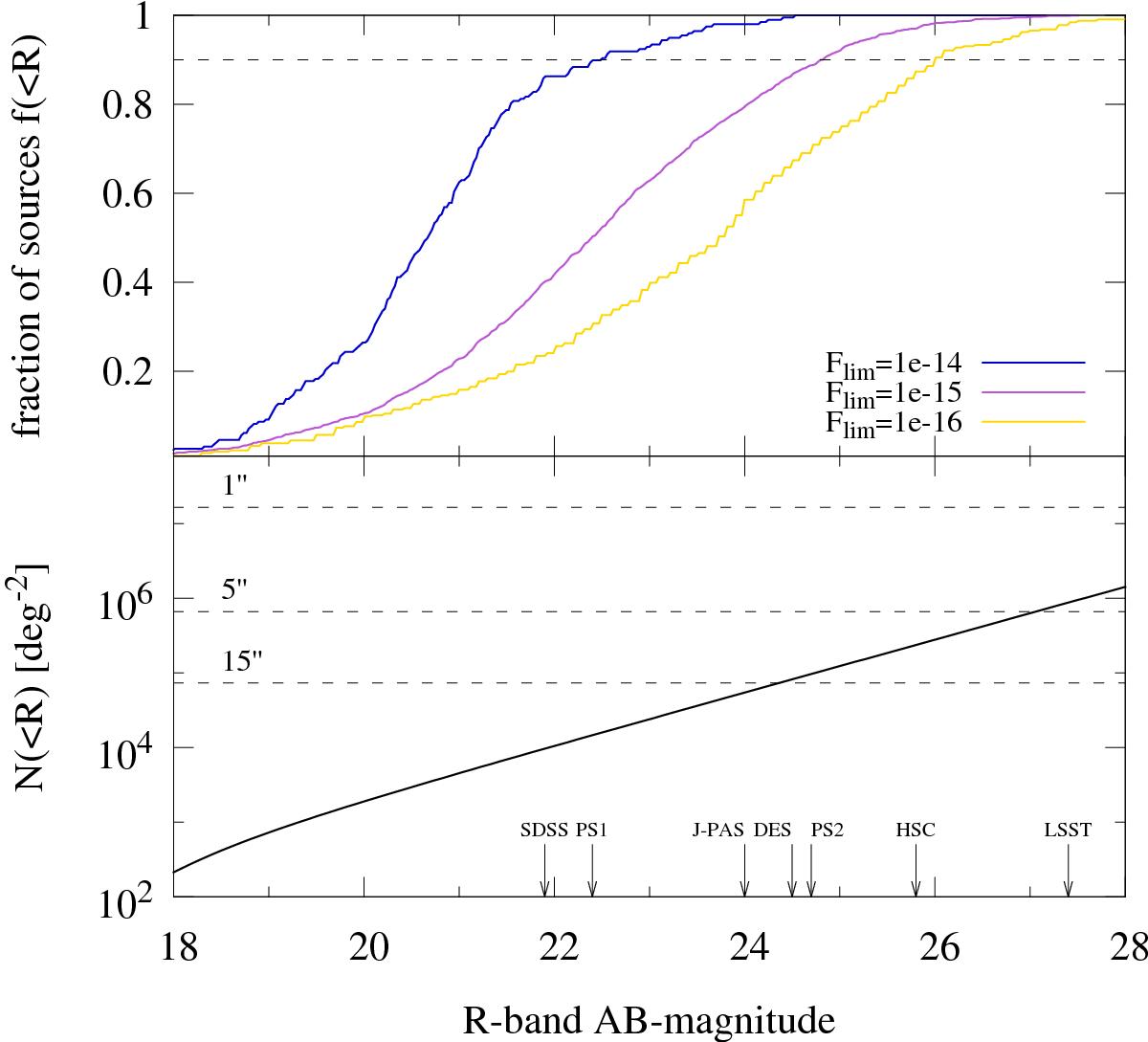
Fig. 9

Upper panel: cumulative R-band magnitude distribution of optical counterparts of X-ray sources in XMM-COSMOS and CDF-N fields for the X-ray limiting fluxes of 10-14, 10-15, and 10-16 erg s-1/cm2. Lower panel: cumulative number density of galaxies as a function of their R-band magnitude. The horizontal dashed lines show the number of “resolution elements” per deg2 corresponding to angular error circle diameters of 1′′, 5′′, and 15′′. The approximate limiting magnitudes for various existing and future optical imaging surveys are also displayed.
Current usage metrics show cumulative count of Article Views (full-text article views including HTML views, PDF and ePub downloads, according to the available data) and Abstracts Views on Vision4Press platform.
Data correspond to usage on the plateform after 2015. The current usage metrics is available 48-96 hours after online publication and is updated daily on week days.
Initial download of the metrics may take a while.