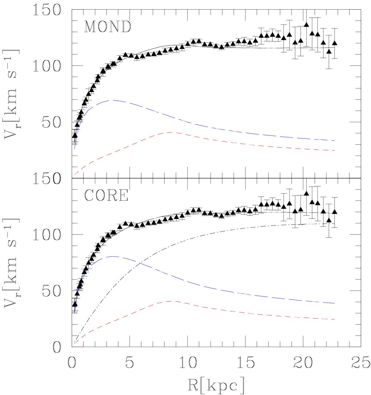
Fig. 15

Rotation curve of M 33 (filled triangles) and the best-fitting model (solid line) for a dark matter halo with a constant density core (bottom panel) and according to MOND (top panel). The small and large dashed lines (red and blue in the online version) show the gas and stellar disk Newtonian contributions to the rotation curves, respectively; the dark halo contribution in the bottom panel is shown with a long dashed line.
Current usage metrics show cumulative count of Article Views (full-text article views including HTML views, PDF and ePub downloads, according to the available data) and Abstracts Views on Vision4Press platform.
Data correspond to usage on the plateform after 2015. The current usage metrics is available 48-96 hours after online publication and is updated daily on week days.
Initial download of the metrics may take a while.