Fig. 3

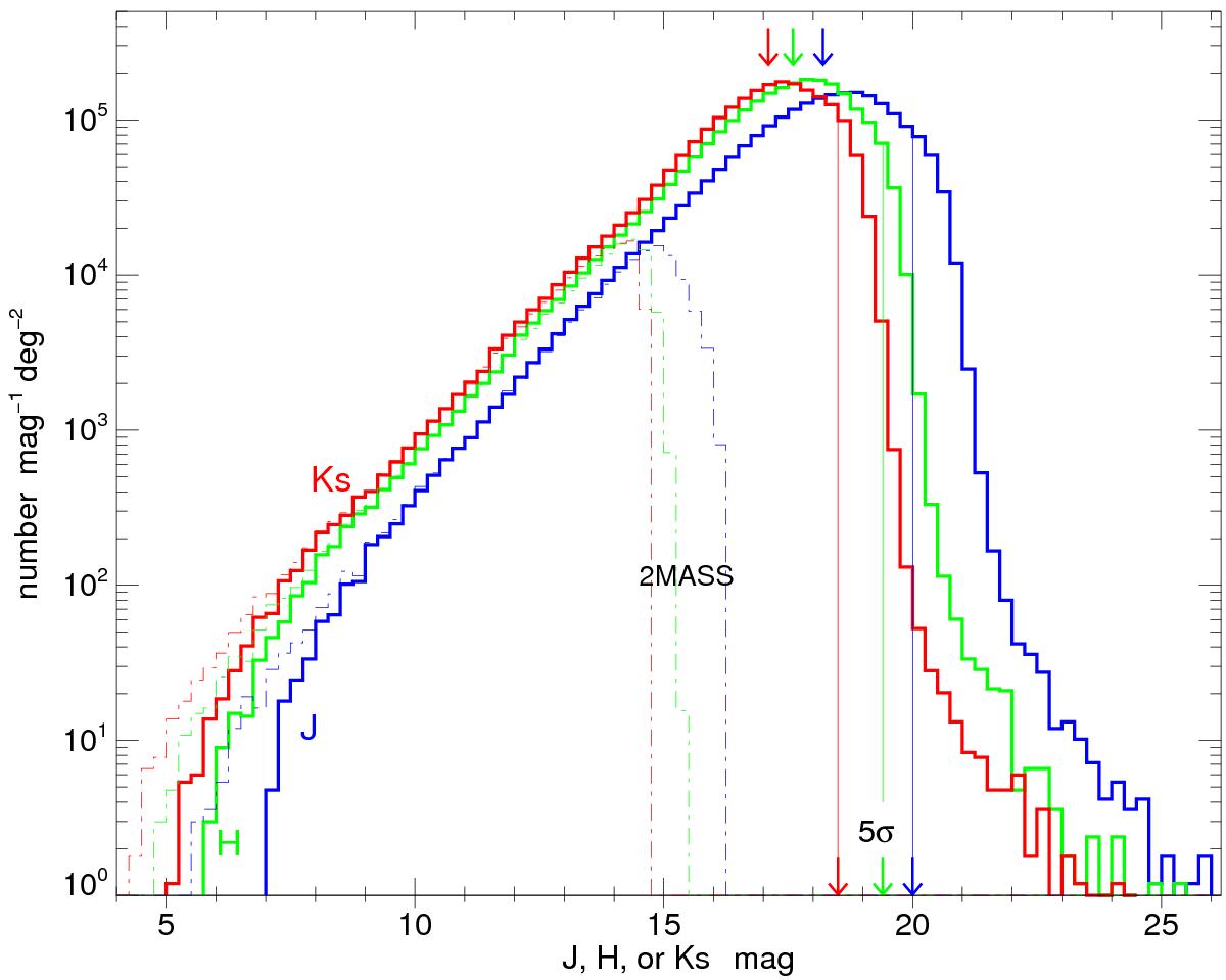
Histogram of the NIR magnitudes of the objects in the VCNS catalog (solid lines). The blue, green, and red histograms refer to the J-, H-, and Ks-band, respectively. The dashed lines show the corresponding distributions for the 2MASS point source catalog sources in the same area. The downward pointing arrows below the upper x-axis mark our estimates of the typical completeness limits of the VISTA data, while the vertical lines with arrows at the lower x-axis mark the 5σ magnitude limits.
Current usage metrics show cumulative count of Article Views (full-text article views including HTML views, PDF and ePub downloads, according to the available data) and Abstracts Views on Vision4Press platform.
Data correspond to usage on the plateform after 2015. The current usage metrics is available 48-96 hours after online publication and is updated daily on week days.
Initial download of the metrics may take a while.