Free Access
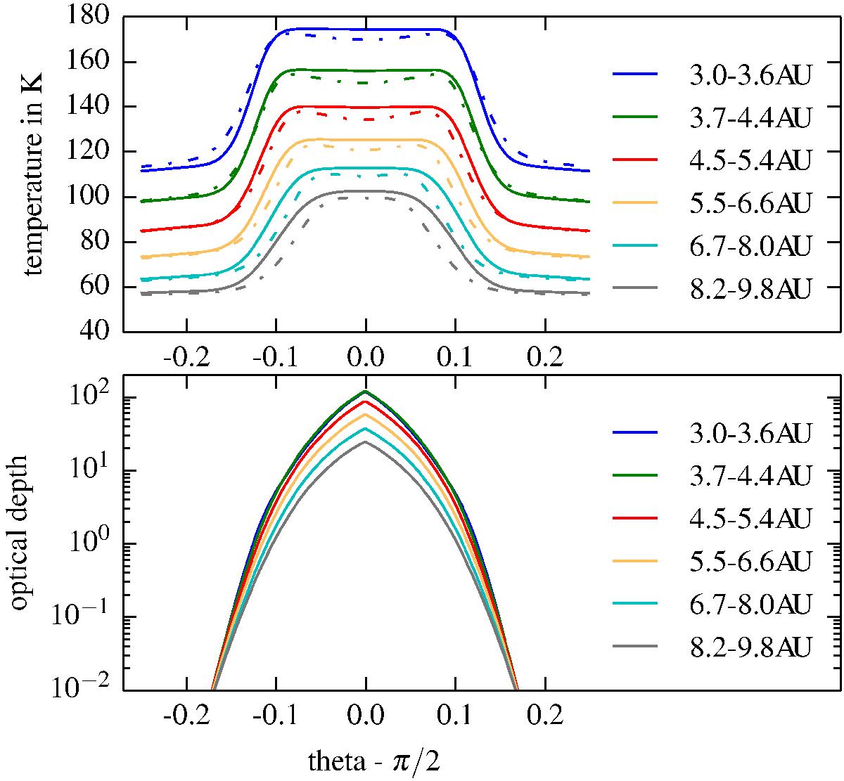
Fig. 15

Upper panel: temperature profile for an irradiated disc in the saturated phase without viscosity and a resolution of 1024 × 256. The dotted line is a run without hydrodynamics, only solving for the radiation energy. Lower panel: vertically integrated optical depth.
Current usage metrics show cumulative count of Article Views (full-text article views including HTML views, PDF and ePub downloads, according to the available data) and Abstracts Views on Vision4Press platform.
Data correspond to usage on the plateform after 2015. The current usage metrics is available 48-96 hours after online publication and is updated daily on week days.
Initial download of the metrics may take a while.