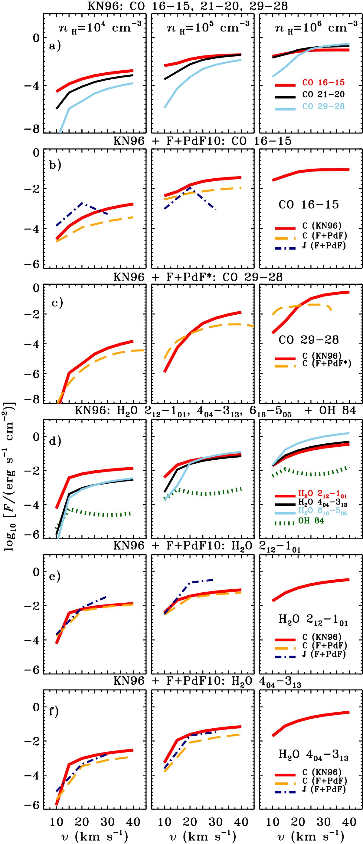
Fig. 4

Absolute fluxes of selected CO, H2O, and OH lines predicted by Kaufman & Neufeld
and Flower & Pineau des Forêts models and shown as a function of shock velocity
and for pre-shock densities of 104 cm-3 (left), 105 cm-3
(center), and 106 cm-3 (right). The latter models are
available only for the pre-shock densities of 104 cm-3 and 105 cm-3. OH 84 refers to the OH
J = 7/ 2−5/
2 doublet at 84 μm.
Current usage metrics show cumulative count of Article Views (full-text article views including HTML views, PDF and ePub downloads, according to the available data) and Abstracts Views on Vision4Press platform.
Data correspond to usage on the plateform after 2015. The current usage metrics is available 48-96 hours after online publication and is updated daily on week days.
Initial download of the metrics may take a while.