Free Access

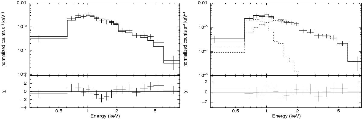
Fig. 1

image

Fitted combined/total Chandra ACIS-S3 spectrum of T Pyx. Left panel: fit with the tbabs×CEVMKL model; right panel: fitted tbabs×(MEKAL+MEKAL) model. The crosses are the data with errors, solid lines are the fitted model, and dotted lines show the contribution of the models. Lower panels: residuals in standard deviations (in sigma).

This figure is made of several images, please see below:

Current usage metrics show cumulative count of Article Views (full-text article views including HTML views, PDF and ePub downloads, according to the available data) and Abstracts Views on Vision4Press platform.

Data correspond to usage on the plateform after 2015. The current usage metrics is available 48-96 hours after online publication and is updated daily on week days.

Initial download of the metrics may take a while.