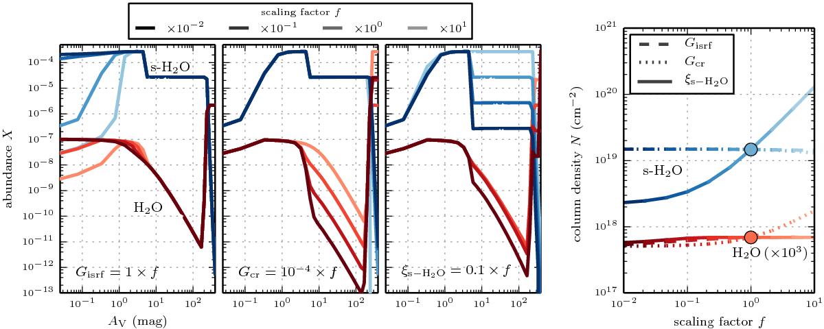
Fig. 4

Dependence of water abundances and column densities of L1551-IRS5 on the FUV-ISRF field (Gisrf), CR-induced FUV field (Gcr), and initial fractional abundance of water (ξs - H2O). The three panels on the left show the abundance profiles of water vapour (red) and water ice (blue) upon changing one parameter, keeping the other two parameters at their respective fiducial values (Gisrf = 1, Gcr = 10-4, ξs - H2O = 0.1). The different shadings represent different scaling factors f. The right panel shows the column density in the water freeze-out zone as a function of the parameter scaling. The colour shades represent the respective profile from the left panel. The filled circles represent the column density with all parameters exhibiting their fiducial level.
Current usage metrics show cumulative count of Article Views (full-text article views including HTML views, PDF and ePub downloads, according to the available data) and Abstracts Views on Vision4Press platform.
Data correspond to usage on the plateform after 2015. The current usage metrics is available 48-96 hours after online publication and is updated daily on week days.
Initial download of the metrics may take a while.