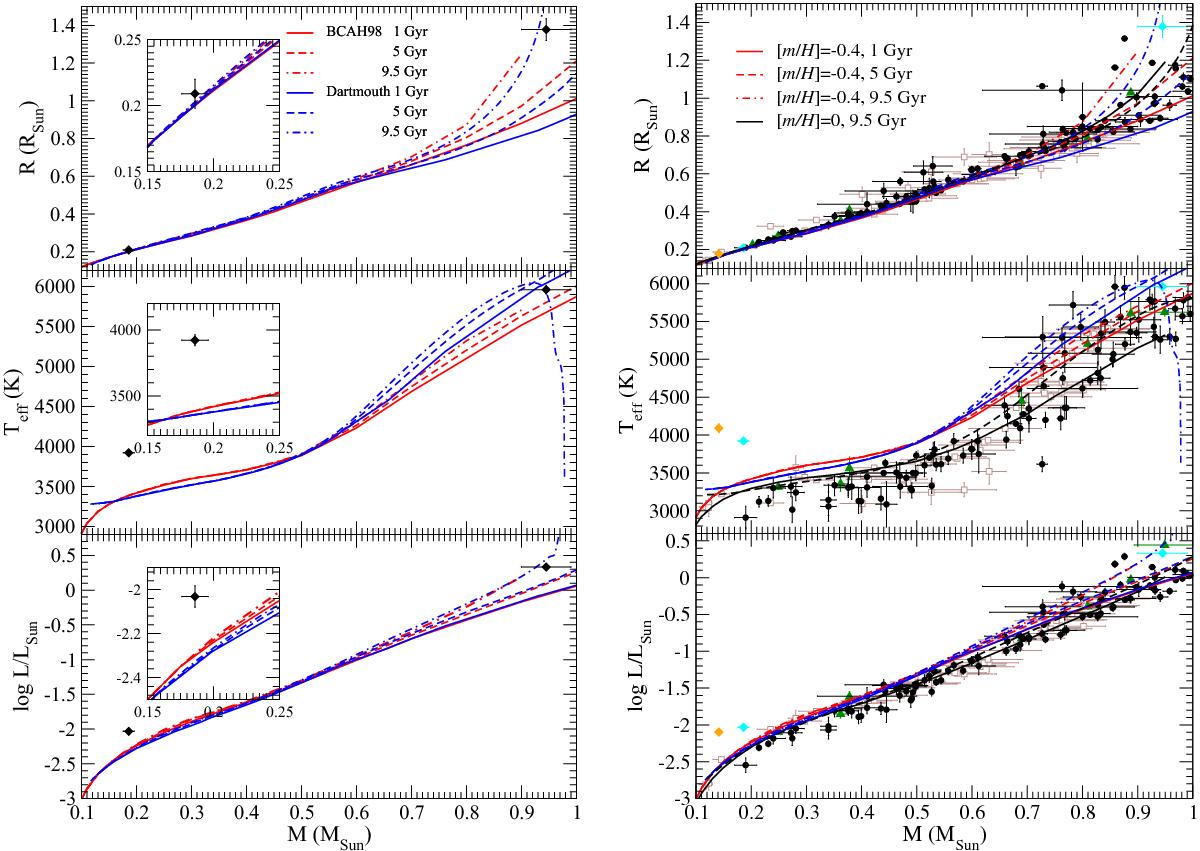
Fig. 6

Comparison to stellar evolution models and other direct measurements. On the left, our measurements of stellar radius (top), effective temperature (middle), and luminosity (bottom) for both components of J0113+31 are shown as black diamonds against the stellar evolution models of Baraffe et al. (1998, in red) and Dotter et al. (2008, in blue), as interpolated at a metallicity of −0.4 dex for different ages (solid line for 1 Gyr; dashed line for 5 Gyr; dash-dotted line for 9.5 Gyr). The insets highlight the area around the measurements for the M dwarf for clarity. On the right, we show the same measurements of J0113+31 (cyan-filled diamonds) and compare them to other measurements of M dwarfs from double-lined eclipsing binaries (black-filled circles), from Kepler eclipsing binaries with circumbinary planets (green-filled triangles), and with interferometric radii (brown, open squares). Apart from J0113+31, the only other M dwarf in an single-lined EB with a measured temperature (KIC 1571511) is marked by the yellow diamond. See the text for the references of the measurements included in this figure. The model evolutionary tracks are the same as on the left panel, except for the black lines, which show the models of Baraffe et al. (1998, solid) and Dotter et al. (2008, dashed) for solar metallicity at 9.5 Gyr for comparison. A colour version can be found in the online version of the paper.
Current usage metrics show cumulative count of Article Views (full-text article views including HTML views, PDF and ePub downloads, according to the available data) and Abstracts Views on Vision4Press platform.
Data correspond to usage on the plateform after 2015. The current usage metrics is available 48-96 hours after online publication and is updated daily on week days.
Initial download of the metrics may take a while.