Free Access
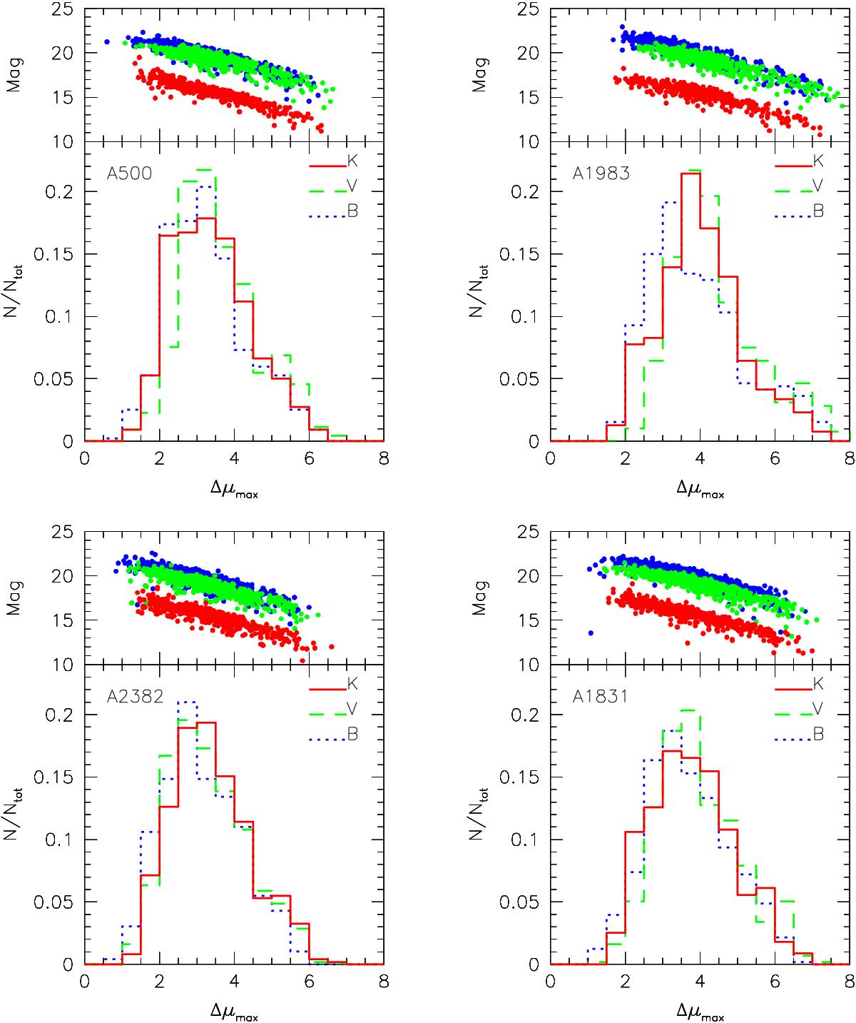
Fig. 1

Histograms of the photometric depth Δμmax observed in the B, V, and K bands for four different WINGS clusters (A550, A1983, A2382, and A1831). The color legend marks the various filters. The upper panels above each histogram show the total luminosity versus Δμmax.
Current usage metrics show cumulative count of Article Views (full-text article views including HTML views, PDF and ePub downloads, according to the available data) and Abstracts Views on Vision4Press platform.
Data correspond to usage on the plateform after 2015. The current usage metrics is available 48-96 hours after online publication and is updated daily on week days.
Initial download of the metrics may take a while.