Free Access

Fig. 7

image

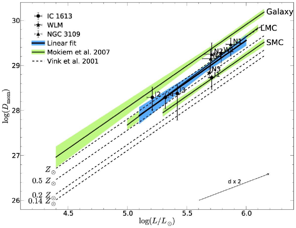
Location of the target stars in the modified wind momentum versus luminosity diagram. Also indicated are the theoretical predictions from Vink et al. (2001) and the empirical results from Mokiem et al. (2007). NGC 3109-4 is shifted by 0.01 dex in luminosity for clarity. 1σ error bars are indicated. The thick line represents a linear fit to our results, and shows that the wind strengths are comparable to the empirical LMC results.

Current usage metrics show cumulative count of Article Views (full-text article views including HTML views, PDF and ePub downloads, according to the available data) and Abstracts Views on Vision4Press platform.

Data correspond to usage on the plateform after 2015. The current usage metrics is available 48-96 hours after online publication and is updated daily on week days.

Initial download of the metrics may take a while.