Free Access
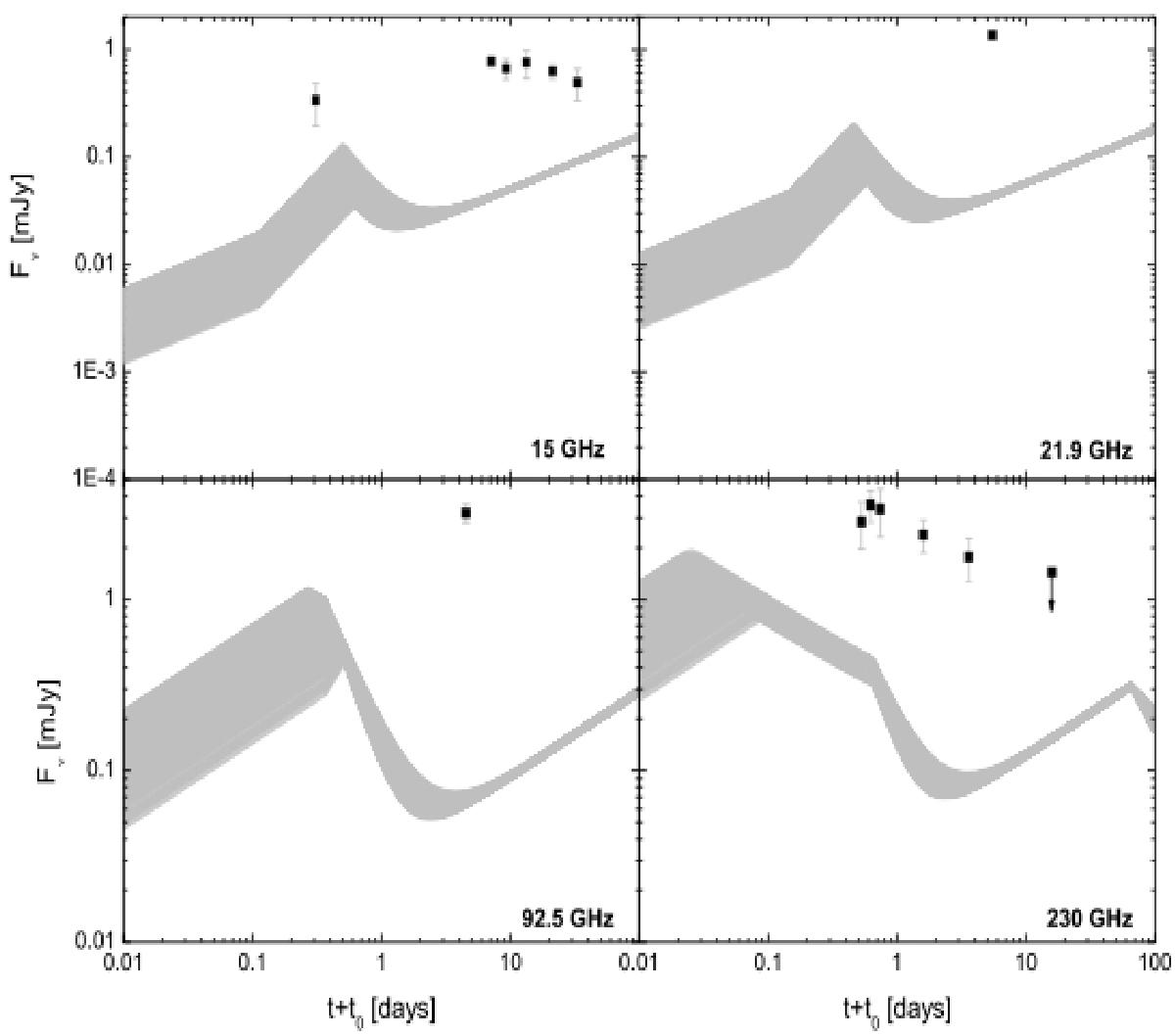
Fig. 2

Light-curve predictions in the radio band in the context of the low-frequency model. We assume the late-time peak as the possible onset of the forward-shock emission. The expected radio light-curve is displayed as a grey region that also reflects the uncertainties on the parameters assumed by the model.
Current usage metrics show cumulative count of Article Views (full-text article views including HTML views, PDF and ePub downloads, according to the available data) and Abstracts Views on Vision4Press platform.
Data correspond to usage on the plateform after 2015. The current usage metrics is available 48-96 hours after online publication and is updated daily on week days.
Initial download of the metrics may take a while.