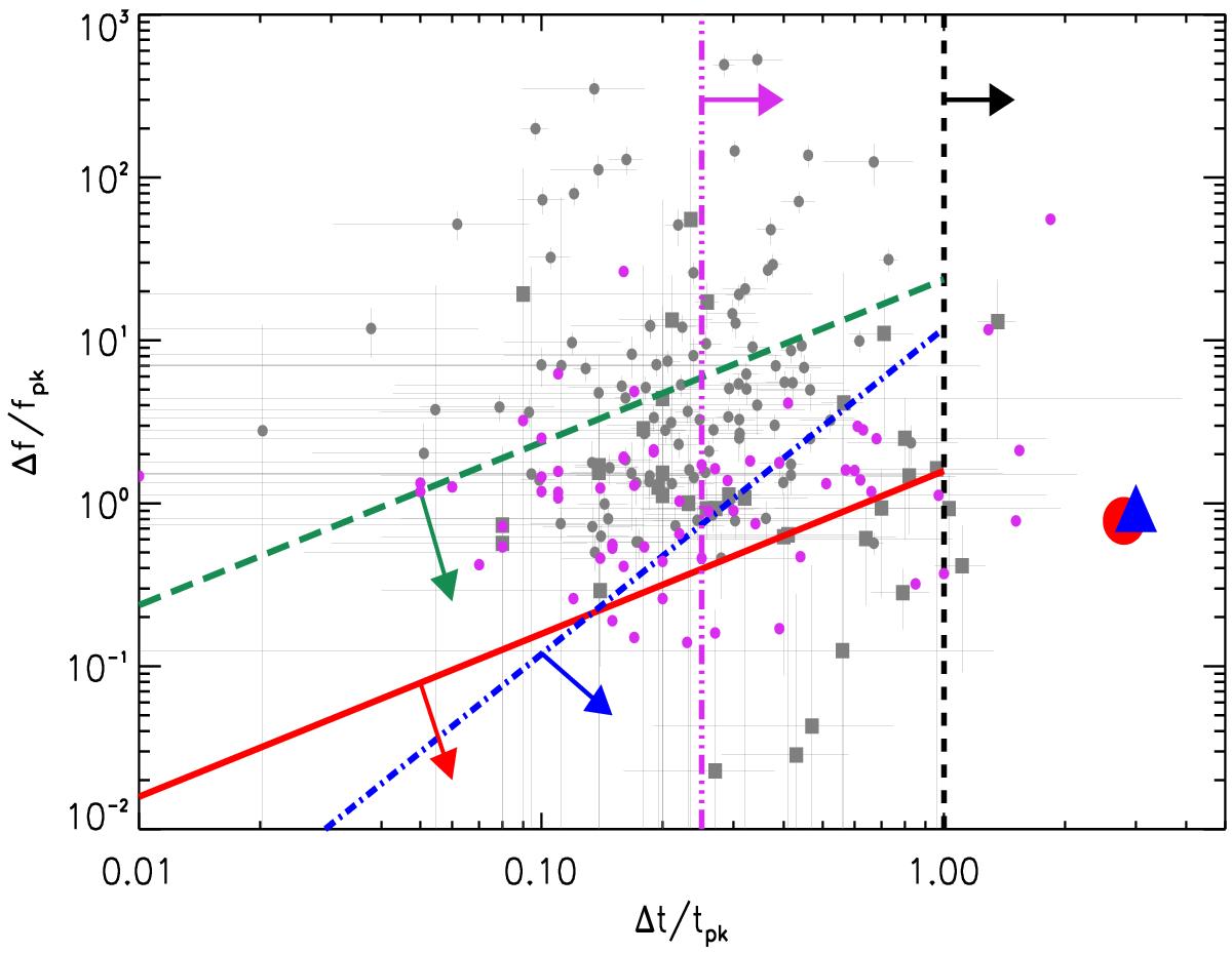
Fig. 3

Kinematically allowed regions for afterglow variability in the Δf/fpeak vs. Δt/tpeak plane. Solid lines with arrows represent the allowed regions for density fluctuations on-axis (blue), density fluctuations off-axis (red), multiple density fluctuations off-axis (green), refreshed shocks (pink) and patchy shell (black; for details see Ioka et al. 2005; Curran et al. 2008; Bernardini et al. 2011). In this plot we show early-time (tpeak ≤ 103 s, grey circles; Chincarini et al. 2010) and late-time (tpeak> 103 s, grey squares; Bernardini et al. 2011) X-ray flares together with UV/optical flares detected at 1σ confidence level (magenta circles; Swenson et al. 2013). The X-ray and optical peaks observed for GRB 120326A are shown with a blue triangle and a red circle.
Current usage metrics show cumulative count of Article Views (full-text article views including HTML views, PDF and ePub downloads, according to the available data) and Abstracts Views on Vision4Press platform.
Data correspond to usage on the plateform after 2015. The current usage metrics is available 48-96 hours after online publication and is updated daily on week days.
Initial download of the metrics may take a while.