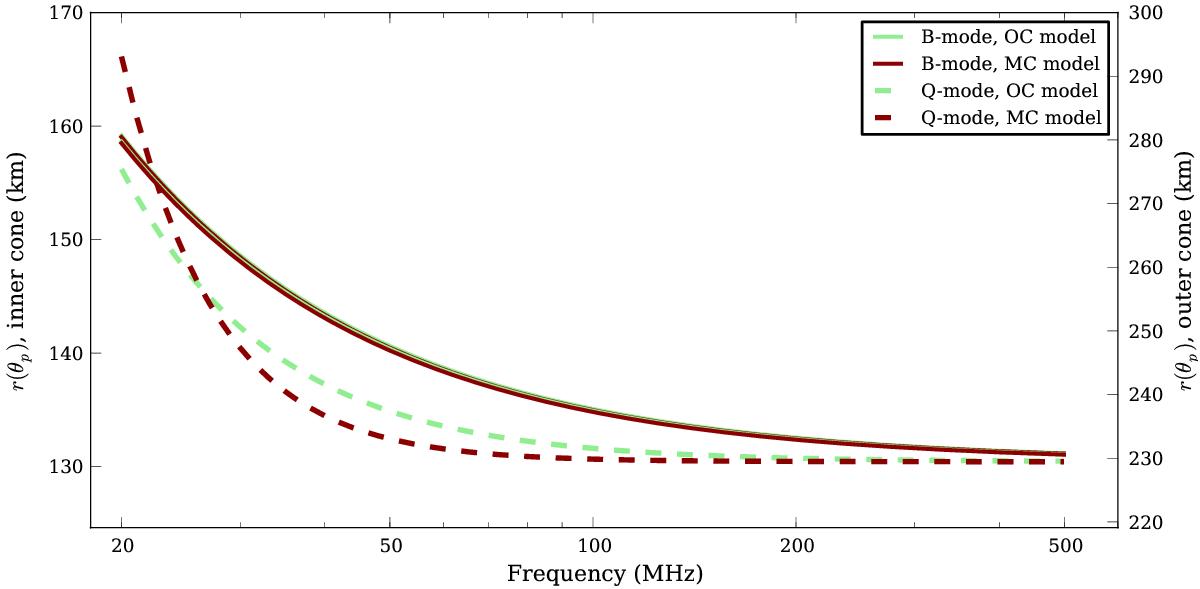
Fig. 10

Emission heights (radial distance from the centre of the star) for a cone originating at the last open field line (magnetic latitude θp). For any other starting magnetic latitude θ0, r(θ0) ≈ r(θp) × (θp/θ0)2. The emission heights at frequencies above the LBA band were extrapolated from the parameters derived from the LBA data.
Current usage metrics show cumulative count of Article Views (full-text article views including HTML views, PDF and ePub downloads, according to the available data) and Abstracts Views on Vision4Press platform.
Data correspond to usage on the plateform after 2015. The current usage metrics is available 48-96 hours after online publication and is updated daily on week days.
Initial download of the metrics may take a while.