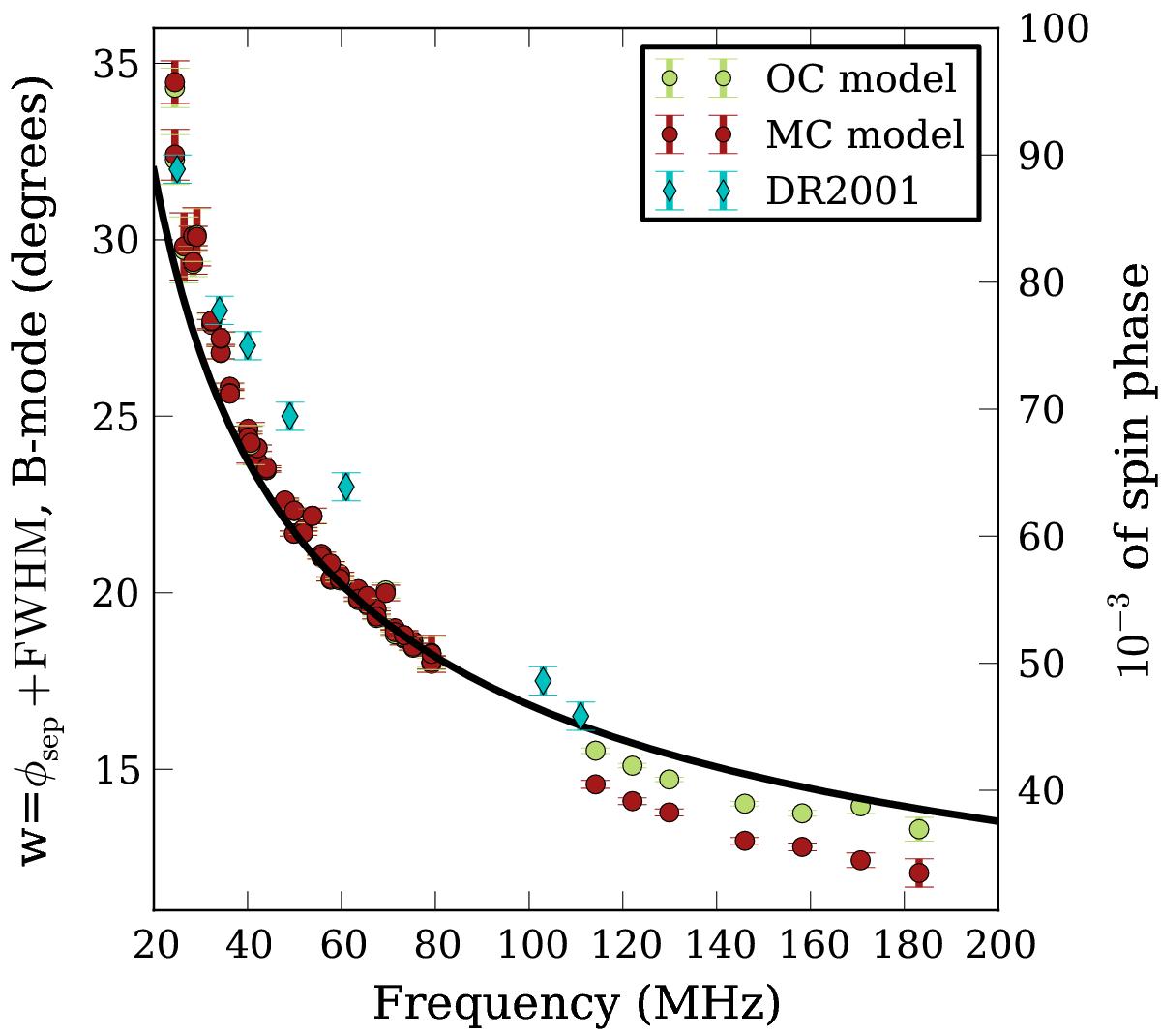
Fig. 9

Width of the average profile in the B-mode between two half-maximum points, w ≡ φsep(ν) + FWHM(ν). The cyan diamonds are the measurements of profile width from Deshpande & Rankin (2001). The green and red circles are from our data (both LBA and HBA), fitted with the OC and MC models, respectively. At frequencies below 40 MHz the profile width is somewhat affected by intra-channel dispersive smearing. The most simple model is shown by the black line: it assumes φsep from the LBA fit and the FWHM derived from the LBA data above 40 MHz.
Current usage metrics show cumulative count of Article Views (full-text article views including HTML views, PDF and ePub downloads, according to the available data) and Abstracts Views on Vision4Press platform.
Data correspond to usage on the plateform after 2015. The current usage metrics is available 48-96 hours after online publication and is updated daily on week days.
Initial download of the metrics may take a while.