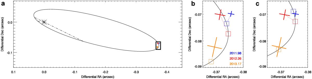
Fig. 4

Astrometry of the resolved binary target Alhena (= γ Gem). a)
Overview the orbit of Alhena B relative to Alhena A, as reported in Drummond (2014). The black rectangular frame
indicates the area shown at larger magnification in the following panels. The
position of Alhena A is marked with a star. b) Observed relative
positions of Alhena B (crosses) and their predicted positions (squares) on the
assumed orbit for each of the three epochs (2011.98, 2013.17: this work; 2012.26:
Drummond 2014). The sizes of the crosses
correspond to the astrometric error bars in the azimuthal and radial directions.
Note that the observed positions are systematically and significantly offset to the
north (χ2 =
31.4). c) The same for an adjusted orbit with
, leading to a good fit the
data (χ2 =
6.8).
Current usage metrics show cumulative count of Article Views (full-text article views including HTML views, PDF and ePub downloads, according to the available data) and Abstracts Views on Vision4Press platform.
Data correspond to usage on the plateform after 2015. The current usage metrics is available 48-96 hours after online publication and is updated daily on week days.
Initial download of the metrics may take a while.