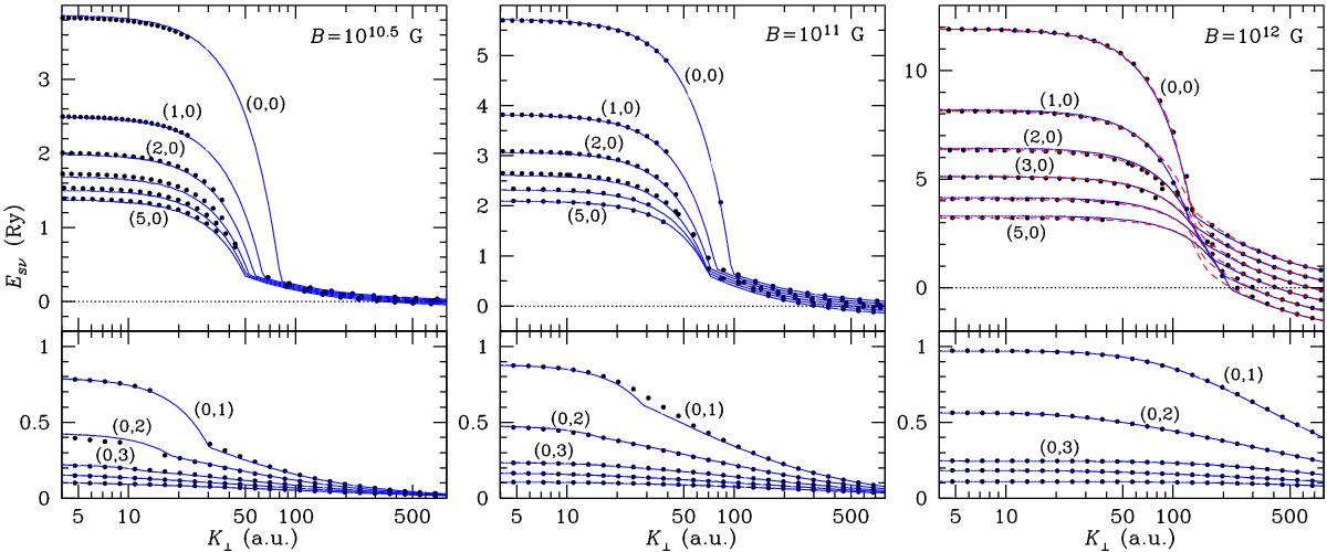
Fig. 1

Binding energies of different states (s,ν) of a hydrogen atom as functions of pseudomomentum K⊥ at B = 3.16 × 1010 G (left), B = 1011 G (middle), and B = 1012 G (right). Numerical calculations (dots) are compared with the analytical approximation presented in Appendix A.1 (solid lines). For comparison, the fit previously developed for B ≳ 1012 G (Potekhin 1998) is shown by the dashed lines in the upper right panel.
Current usage metrics show cumulative count of Article Views (full-text article views including HTML views, PDF and ePub downloads, according to the available data) and Abstracts Views on Vision4Press platform.
Data correspond to usage on the plateform after 2015. The current usage metrics is available 48-96 hours after online publication and is updated daily on week days.
Initial download of the metrics may take a while.