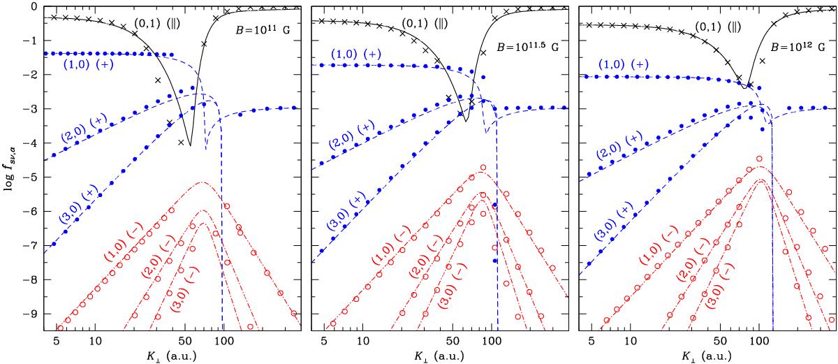
Fig. 3

Analytical approximations (lines) and results of calculations (symbols) for oscillator strengths of transitions from the ground state to different bound states (s,ν) marked near the respective curves with absorption of a photon with polarization α = −1 (dot-dashed lines and empty circles), α = 0 (solid lines and crosses), or α = + 1 (dashed lines and filled dots) at B = 1011 G (left panel), 3.16 × 1011 G (middle panel), and 1012 G (right panel).
Current usage metrics show cumulative count of Article Views (full-text article views including HTML views, PDF and ePub downloads, according to the available data) and Abstracts Views on Vision4Press platform.
Data correspond to usage on the plateform after 2015. The current usage metrics is available 48-96 hours after online publication and is updated daily on week days.
Initial download of the metrics may take a while.