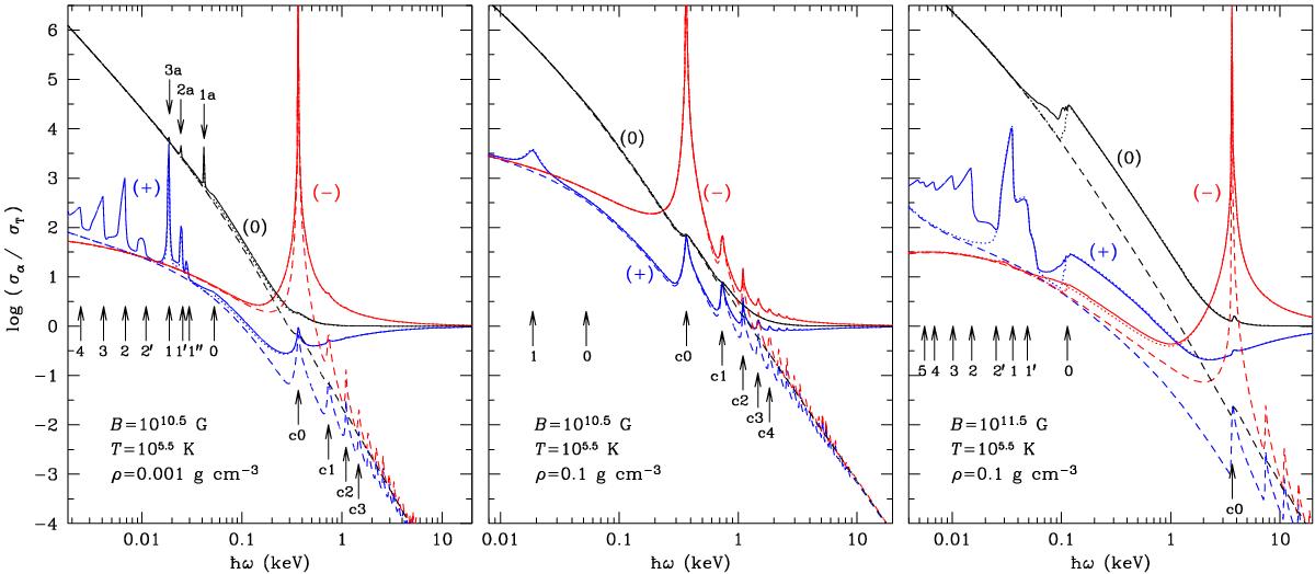
Fig. 4

Logarithms of total basic cross sections σα (solid lines), α = −1,0, + 1 marked “(−)”, “(0)”, and ”(+)”, respectively. For comparison, the logarithms of cross sections without contribution of excited bound states (dotted lines) and free-free cross sections (dashed lines) are plotted. The three panels correspond to three sets of plasma parameters ρ, T, and B marked on the plots. The arrows correspond to different characteristic transition energies for a nonmoving H atom (see text for discussion): 0 – E0,0 (the principal photoionization threshold), 1 – (E0,0 − E1,0), 1′ – (E0,0 − E2,0), 1′′ – (E0,0 − E3,0), 2 – (E1,0 − E2,0), 2′ – (E1,0 − E3,0), 3 – (E2,0 − E3,0), 4 – (E3,0 − E4,0), 5 – (E4,0 − E5,0); 1a – (E0,0 − E0,1), 2a – (E1,0 − E1,1), 3a – (E2,0 − E2,1). The arrows marked c0, c1, c2, c3, c4 correspond to cyclotron harmonics energies (N + 1)ħωce with N = 0,1,2,3,4, respectively.
Current usage metrics show cumulative count of Article Views (full-text article views including HTML views, PDF and ePub downloads, according to the available data) and Abstracts Views on Vision4Press platform.
Data correspond to usage on the plateform after 2015. The current usage metrics is available 48-96 hours after online publication and is updated daily on week days.
Initial download of the metrics may take a while.