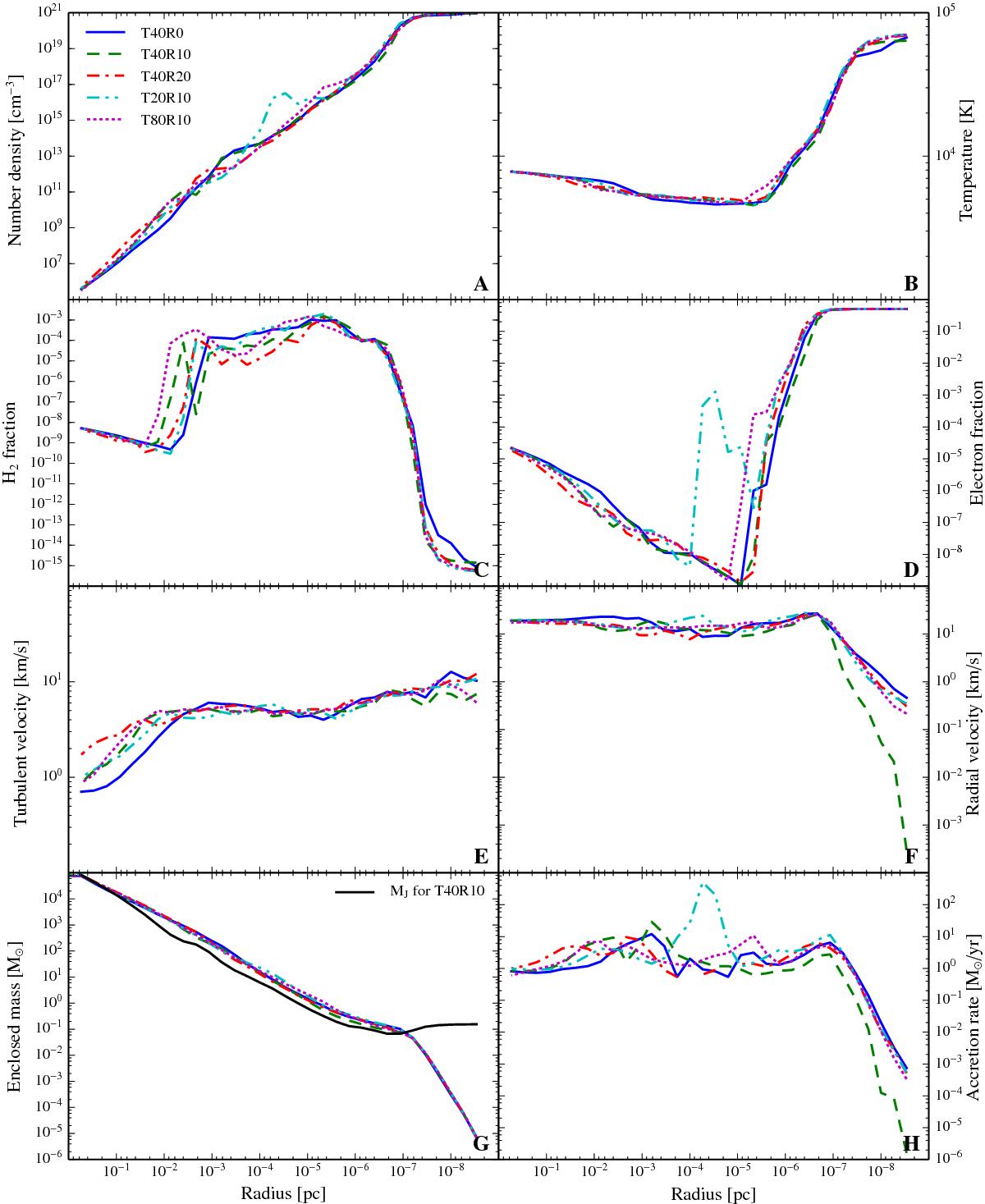
Fig. 2

Physical quantities, weighted by mass, spherically averaged and radially binned, as a function of radius at the peak density output for the different simulations. A) Number density; B) temperature; C) H2 number fraction; D) electron number fraction; E) turbulent velocity; F) radial velocity, plotted as − vrad; G) enclosed mass, and the Jeans mass for T40R10 (it is very similar for other runs); H) radial mass infall rate, calculated from the density and the radial velocity. The simulation details and abbreviations are listed in Table 1.
Current usage metrics show cumulative count of Article Views (full-text article views including HTML views, PDF and ePub downloads, according to the available data) and Abstracts Views on Vision4Press platform.
Data correspond to usage on the plateform after 2015. The current usage metrics is available 48-96 hours after online publication and is updated daily on week days.
Initial download of the metrics may take a while.