Free Access
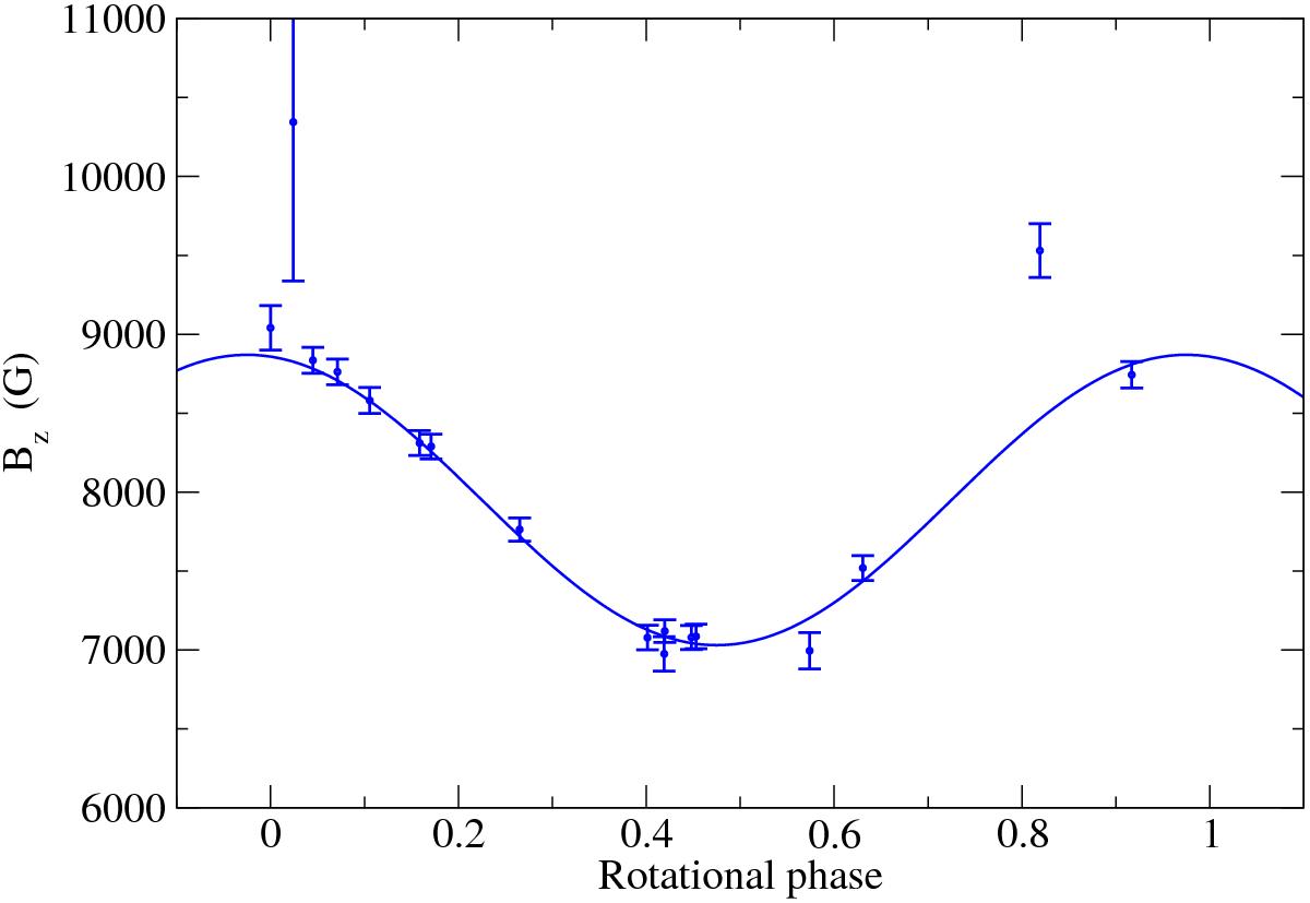
Fig. 8

Variation of ⟨ Bz ⟩ with rotational phase for HD 154708 as measured using the full spectrum and data from both grism 600 B and 1200 g. The smooth curve is the best sine wave fit to ⟨ Bz ⟩, assuming P = 5.363 d.
Current usage metrics show cumulative count of Article Views (full-text article views including HTML views, PDF and ePub downloads, according to the available data) and Abstracts Views on Vision4Press platform.
Data correspond to usage on the plateform after 2015. The current usage metrics is available 48-96 hours after online publication and is updated daily on week days.
Initial download of the metrics may take a while.