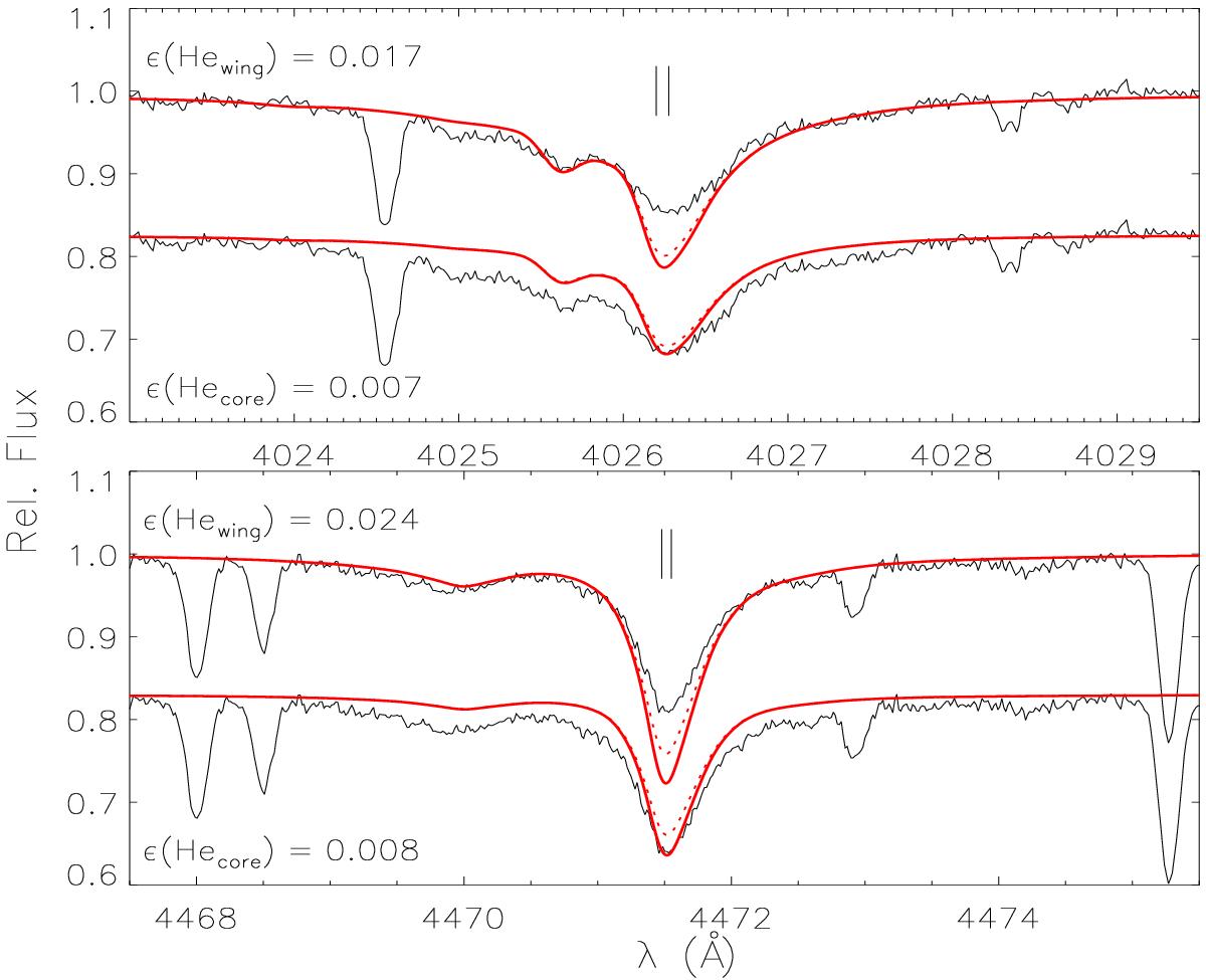
Fig. 6

Comparison of our two-component NLTE fits with the strongest observed diffuse He i lines. The upper curves in each panel visualise the fit to the line wings, the lower ones the fit to the line core. See Fig. 5 for the description of the line encoding. The two vertical lines indicate the degree of the isotopic shift in the two cases.
Current usage metrics show cumulative count of Article Views (full-text article views including HTML views, PDF and ePub downloads, according to the available data) and Abstracts Views on Vision4Press platform.
Data correspond to usage on the plateform after 2015. The current usage metrics is available 48-96 hours after online publication and is updated daily on week days.
Initial download of the metrics may take a while.