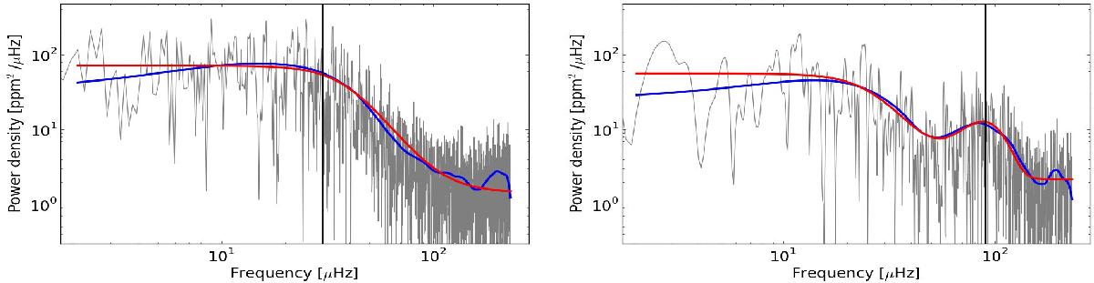
Fig. 13

Power density spectrum of γ Psc (left) and θ1 Tau (right). The original spectrum of the spectroscopic time series is shown in grey. The blue line shows the smoothed PDS. The red line depicts the multi-component fit to the original PDS. For γ Psc, no Gaussian profile was fitted for νmax. The vertical black line shows the adopted value of νmax for γ Psc and θ1 Tau of ~32 and 90 μHz. For both stars, Fig. 1 shows the clear variations on these timescales in the time series.
Current usage metrics show cumulative count of Article Views (full-text article views including HTML views, PDF and ePub downloads, according to the available data) and Abstracts Views on Vision4Press platform.
Data correspond to usage on the plateform after 2015. The current usage metrics is available 48-96 hours after online publication and is updated daily on week days.
Initial download of the metrics may take a while.