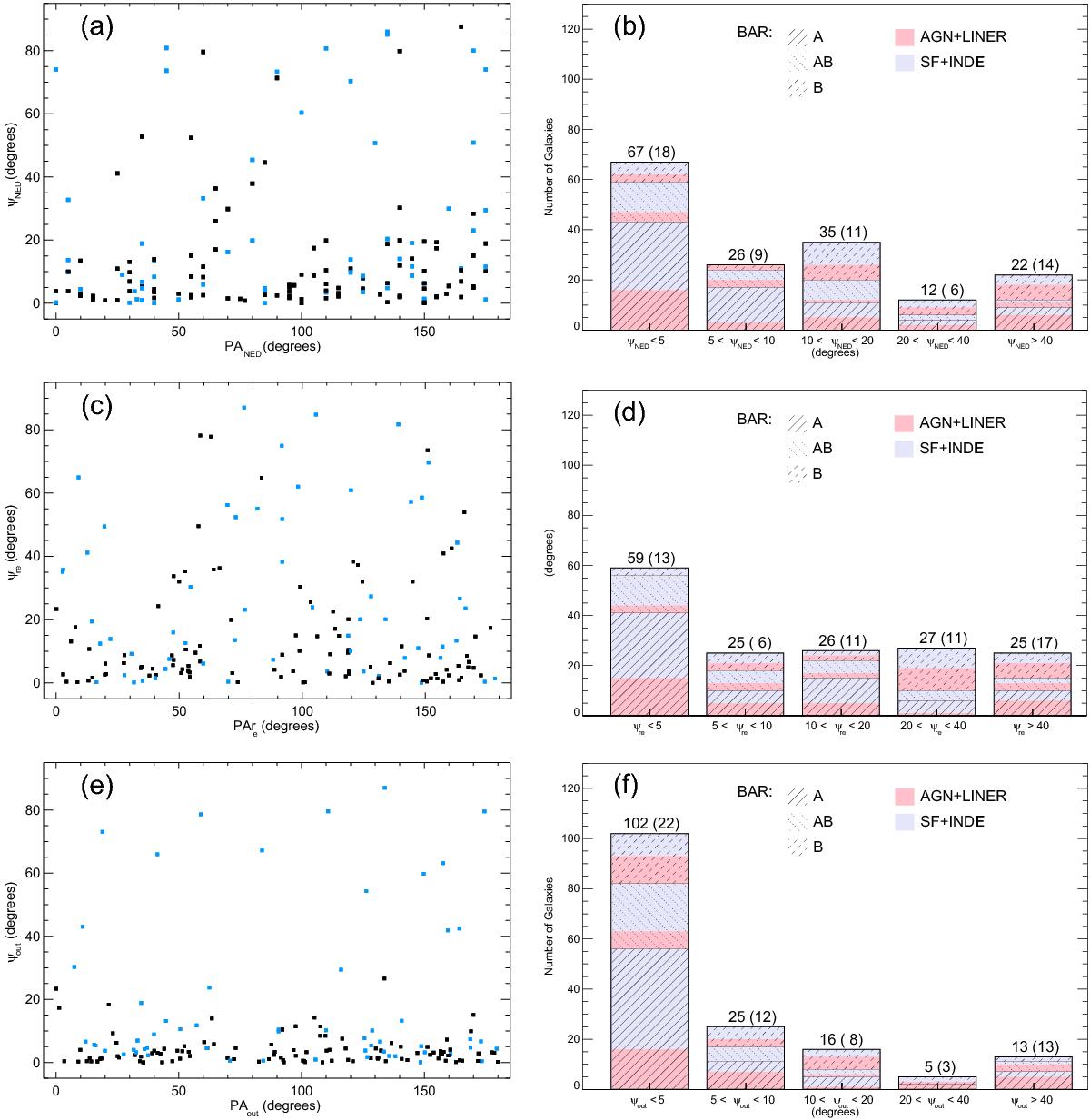
Fig. 11

a) Misalignment (ψNED) of the photometric position angles (from NED) and the major kinematic position angles (estimated from the average of the estimations at the receding (PAkin,rec) and approaching (PAkin,app) sides of each galaxy). b) Histogram of the morpho-kinematic misalignment ψNED. The fraction of non-barred and barred galaxies is indicated as in Fig. 1. c) Misalignment (ψre) of the photometric position angles at one effective radius and the major kinematic position angles (PAkin). d) Histogram of the morpho-kinematic misalignment ψre. d) Misalignment (ψout) of the photometric position angles at the external isophotes and the major kinematic position angles (PAkin). e) Histogram of the morpho-kinematic misalignment ψout. In a), c), and e), blue circles correpond to objects identified as galaxies in interaction (see Sect. 2.3 and Table A.1). In b), d), and f), colors indicate the fraction of galaxies in each bin and bar strength of the nuclear type of the galaxies (AGN+LINER or SF+INDEF). Numbers indicate the total number of objects in each bin, including the number of interacting galaxies in parentheses.
Current usage metrics show cumulative count of Article Views (full-text article views including HTML views, PDF and ePub downloads, according to the available data) and Abstracts Views on Vision4Press platform.
Data correspond to usage on the plateform after 2015. The current usage metrics is available 48-96 hours after online publication and is updated daily on week days.
Initial download of the metrics may take a while.