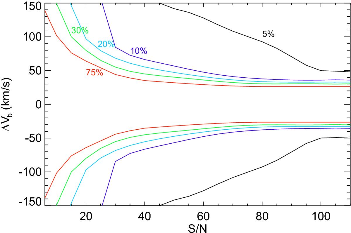
Fig. B.2

Noise-induced asymmetries limits, as a function of the S/N, of the difference in velocity between the peak and selected bisector levels (in percentage of the intensity peak, as indicated in the plot) for V500 CALIFA spectra derived from a large number of modeled single-Gaussian profiles. The ΔVb obtained for each selected bisector level are within the curves for that bisector. Any ΔVb beyond these curves should be indicating the presence of secondary gaseous components.
Current usage metrics show cumulative count of Article Views (full-text article views including HTML views, PDF and ePub downloads, according to the available data) and Abstracts Views on Vision4Press platform.
Data correspond to usage on the plateform after 2015. The current usage metrics is available 48-96 hours after online publication and is updated daily on week days.
Initial download of the metrics may take a while.