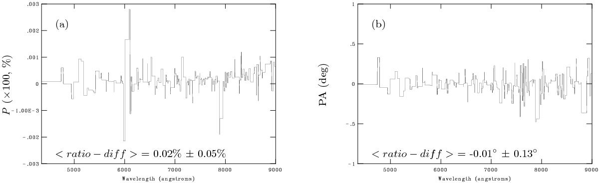
Fig. 9

Residuals between the ratio and difference methods computed by OPERA for the high polarized object HD 150193. a) Degree of polarization; b) position angle. The spectra are binned using a variable bin size with a constant polarization error per bin of 0.1%. The mean values and one-sigma dispersion are indicated in each case.
Current usage metrics show cumulative count of Article Views (full-text article views including HTML views, PDF and ePub downloads, according to the available data) and Abstracts Views on Vision4Press platform.
Data correspond to usage on the plateform after 2015. The current usage metrics is available 48-96 hours after online publication and is updated daily on week days.
Initial download of the metrics may take a while.