Fig. 1

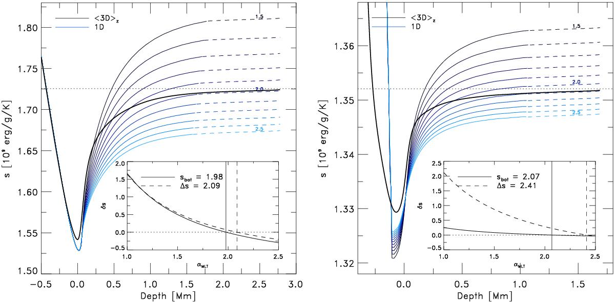
Mean ⟨3D⟩z entropy (black solid line) vs. depth, and 1D models for different mixing length parameters, αMLT = 1.5 − 2.5 (blue lines), for the solar model (left panel) and a metal-poor dwarf with [Fe/H] − 2.0,Teff = 4500 K, and log g = 4.5 (right panel). We indicate the constant entropy value of the deep adiabatic convection zone, sbot, in both figures by the horizontal dotted line. In the deeper layers, we extended the 1D models (dashed lines) with the aid of the entropy gradient from the ⟨3D⟩ models. The calibration of the mixing length parameter αMLT for the solar model is illustrated by the smaller insets, which depict the relative differences between the 1D and 3D models (δs = s1D/s3D − 1) for sbot (solid) and the entropy jump Δs (dashed). For the solar model the two approaches result in αMLT = 1.98 and 2.09.
Current usage metrics show cumulative count of Article Views (full-text article views including HTML views, PDF and ePub downloads, according to the available data) and Abstracts Views on Vision4Press platform.
Data correspond to usage on the plateform after 2015. The current usage metrics is available 48-96 hours after online publication and is updated daily on week days.
Initial download of the metrics may take a while.