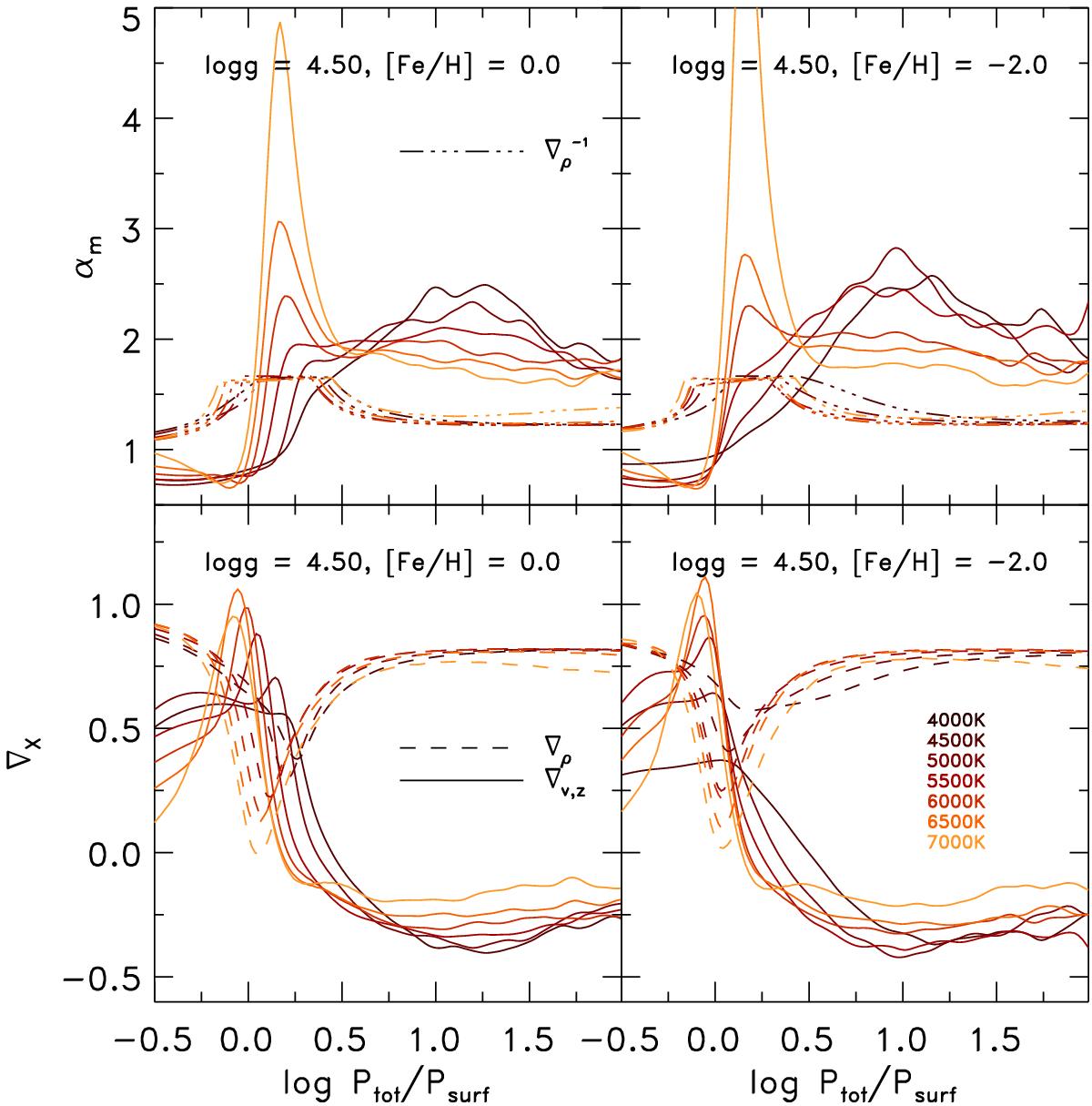
Fig. 11

Top panel: mass mixing length parameter αm from Eq. (3) (solid) and the inverse gradient of the density, (triple-dotted dashed line). For clarity we excluded values with
just below the optical surface (0 < log ptot/psurf< 0.5). Bottom panel: gradient for density, ∇ρ, and vertical velocity, ∇vz (dashed and solid lines, respectively) for different stellar parameters.
Current usage metrics show cumulative count of Article Views (full-text article views including HTML views, PDF and ePub downloads, according to the available data) and Abstracts Views on Vision4Press platform.
Data correspond to usage on the plateform after 2015. The current usage metrics is available 48-96 hours after online publication and is updated daily on week days.
Initial download of the metrics may take a while.