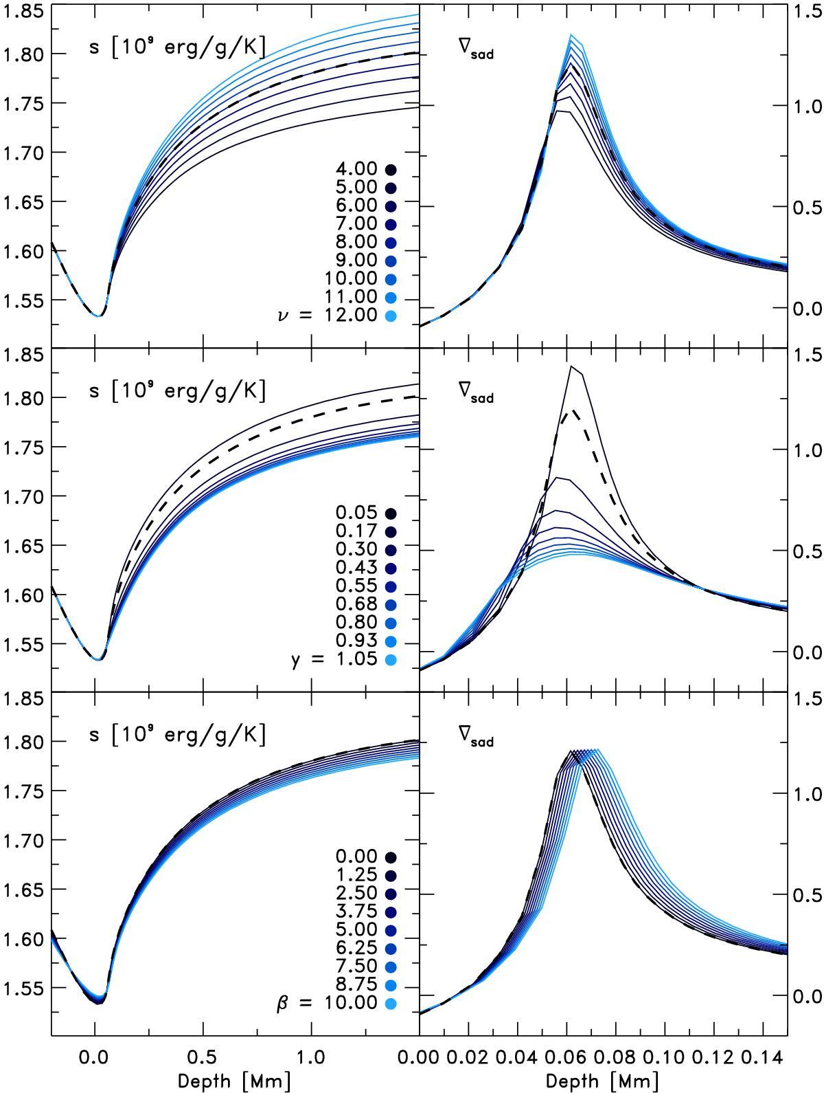
Fig. C.1

Entropy and superadiabatic gradient vs. depth (left and right panel, respectively) illustrating the influence of the additional MLT parameters ν, y, and β (top, middle, and bottom panel, respectively), the latter with the depth-independent vturb = 1 km s-1. The mixing length is kept fixed at αMLT = 1.5. We also included the standard values of β = 0, ν = 8 and y = 0.076 (dashed lines). Shown is the case for solar parameters.
Current usage metrics show cumulative count of Article Views (full-text article views including HTML views, PDF and ePub downloads, according to the available data) and Abstracts Views on Vision4Press platform.
Data correspond to usage on the plateform after 2015. The current usage metrics is available 48-96 hours after online publication and is updated daily on week days.
Initial download of the metrics may take a while.