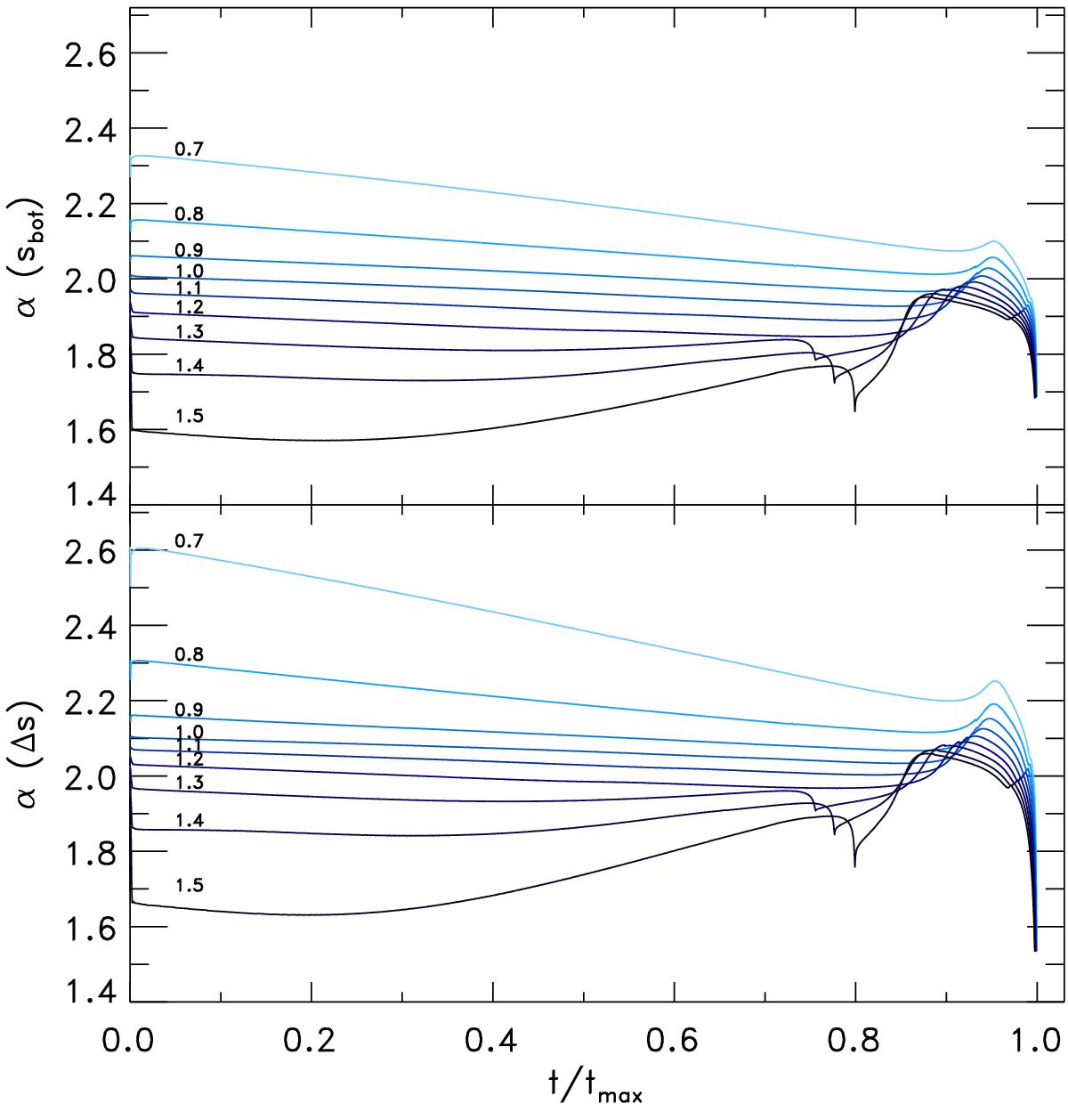
Fig. 9

Mixing length parameter along stellar evolutionary tracks with solar metallicity against the normalized age for the masses from 0.7 to 1.5 M⊙ (indicated). The tracks are derived from the functional fits f(Teff,log g) of αMLT-calibrations with sbot and Δs (top and bottom panel, respectively) and all tracks end on the RGB when log g = 1.
Current usage metrics show cumulative count of Article Views (full-text article views including HTML views, PDF and ePub downloads, according to the available data) and Abstracts Views on Vision4Press platform.
Data correspond to usage on the plateform after 2015. The current usage metrics is available 48-96 hours after online publication and is updated daily on week days.
Initial download of the metrics may take a while.