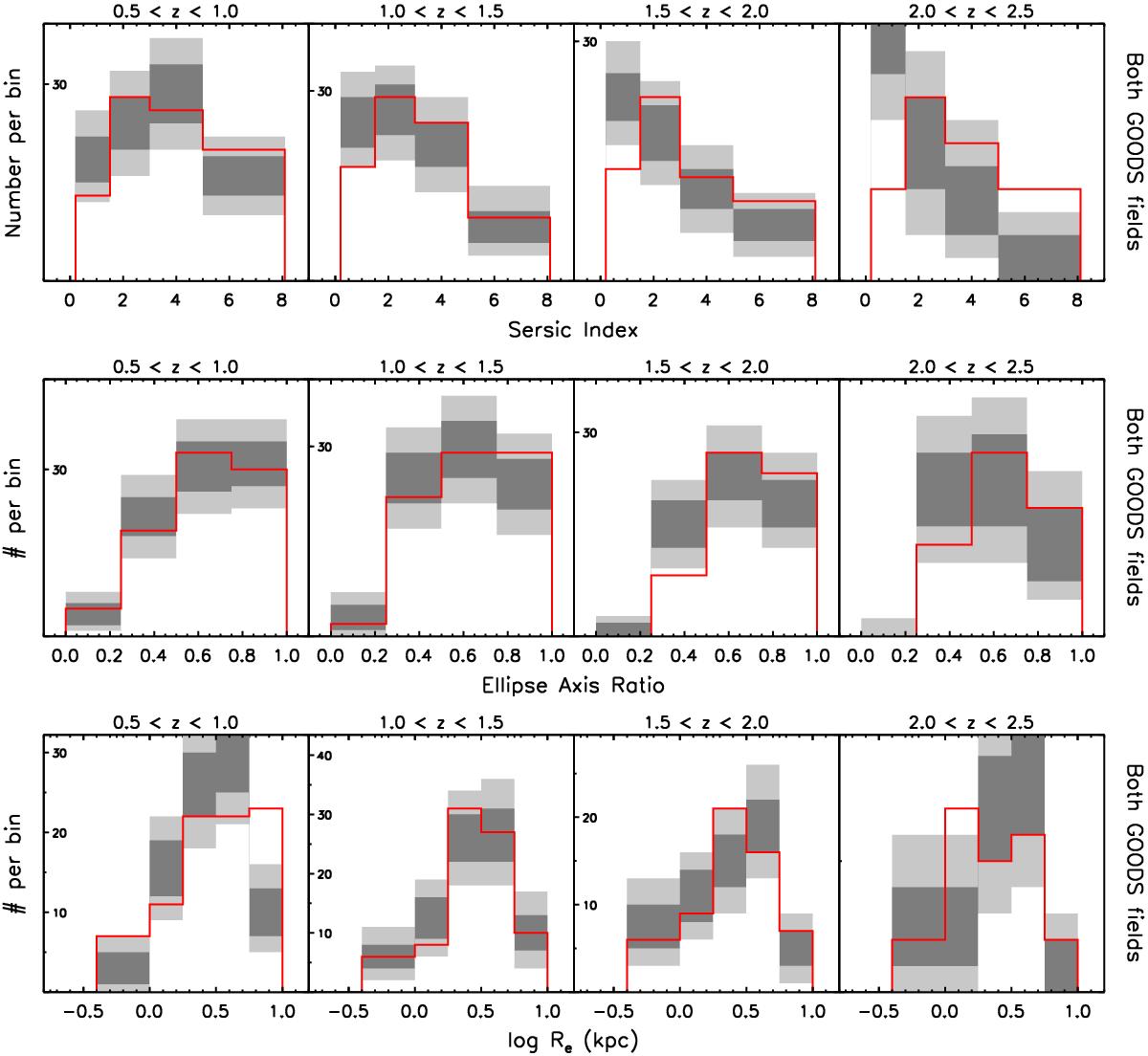
Fig. 5

Distributions of the light profile parameters from GALFIT fits for AGNs and inactive control galaxies. The three rows of panels show histograms in Sérsic index (n), ellipse axis ratio (q) and physical semi-major axis radius (Re) from top to bottom respectively. Panels left to right span four distinct bins in redshift. Samples from both GOODS fields are combined. 1000 draws of a mass-matched control sample are analyzed to determine the 1σ/2σ scatter in the distributions of the parameters for inactive galaxies, shown as dark/light grey zones in the histograms. Red open histograms show the parameter distributions for the AGNs.
Current usage metrics show cumulative count of Article Views (full-text article views including HTML views, PDF and ePub downloads, according to the available data) and Abstracts Views on Vision4Press platform.
Data correspond to usage on the plateform after 2015. The current usage metrics is available 48-96 hours after online publication and is updated daily on week days.
Initial download of the metrics may take a while.