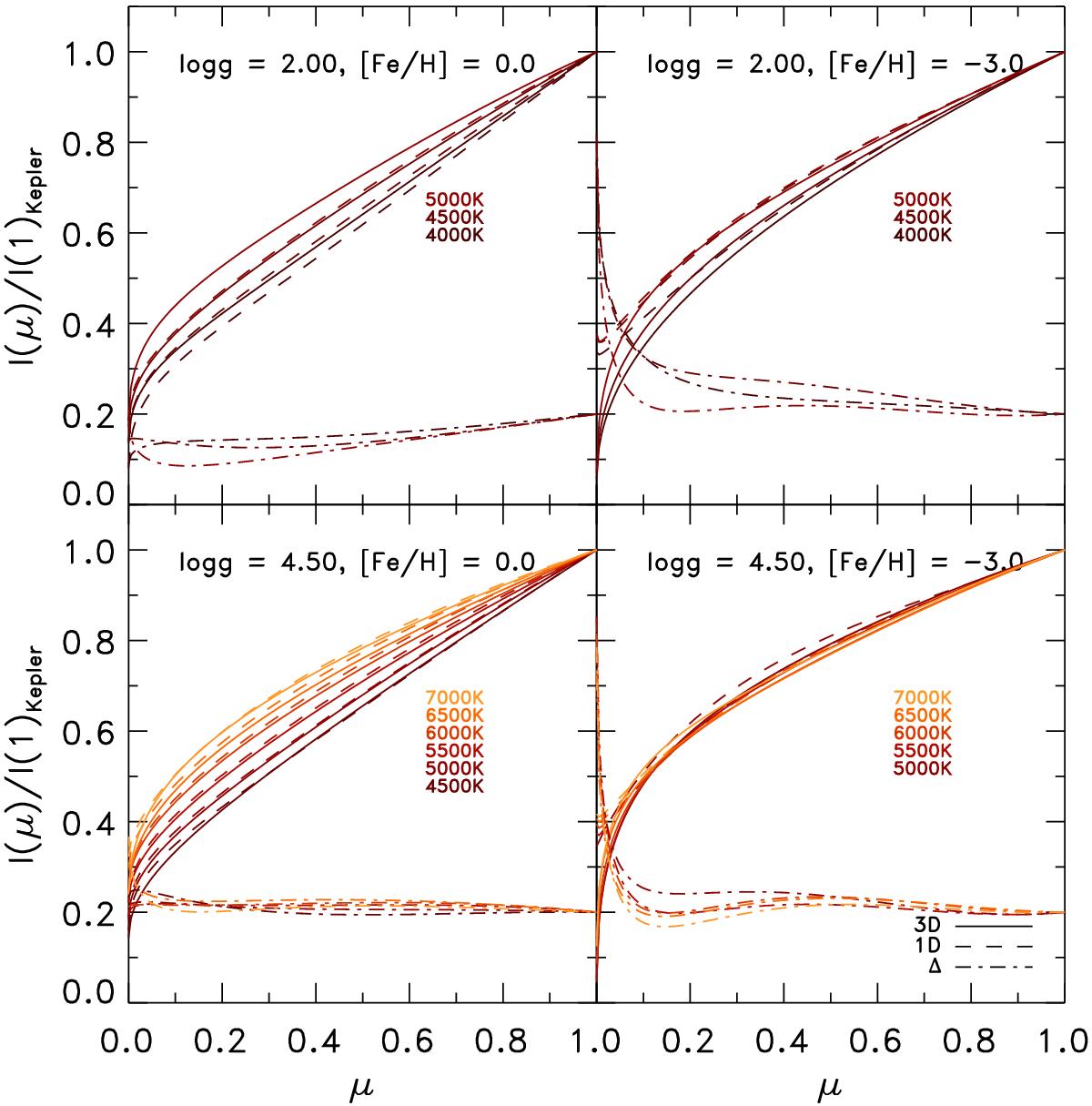
Fig. 4

Disk-center normalized intensity, , against the inclination, μ, in the Kepler filter showing the limb darkening for different stellar parameters. Furthermore, we illustrate also the 1D ATLAS predictions for comparison (dashed lines), and the deviations Δ = 1D−3D (dashed dotted lines), which are enhanced by a factor of 2 and shifted by +0.2 for clarity.
Current usage metrics show cumulative count of Article Views (full-text article views including HTML views, PDF and ePub downloads, according to the available data) and Abstracts Views on Vision4Press platform.
Data correspond to usage on the plateform after 2015. The current usage metrics is available 48-96 hours after online publication and is updated daily on week days.
Initial download of the metrics may take a while.