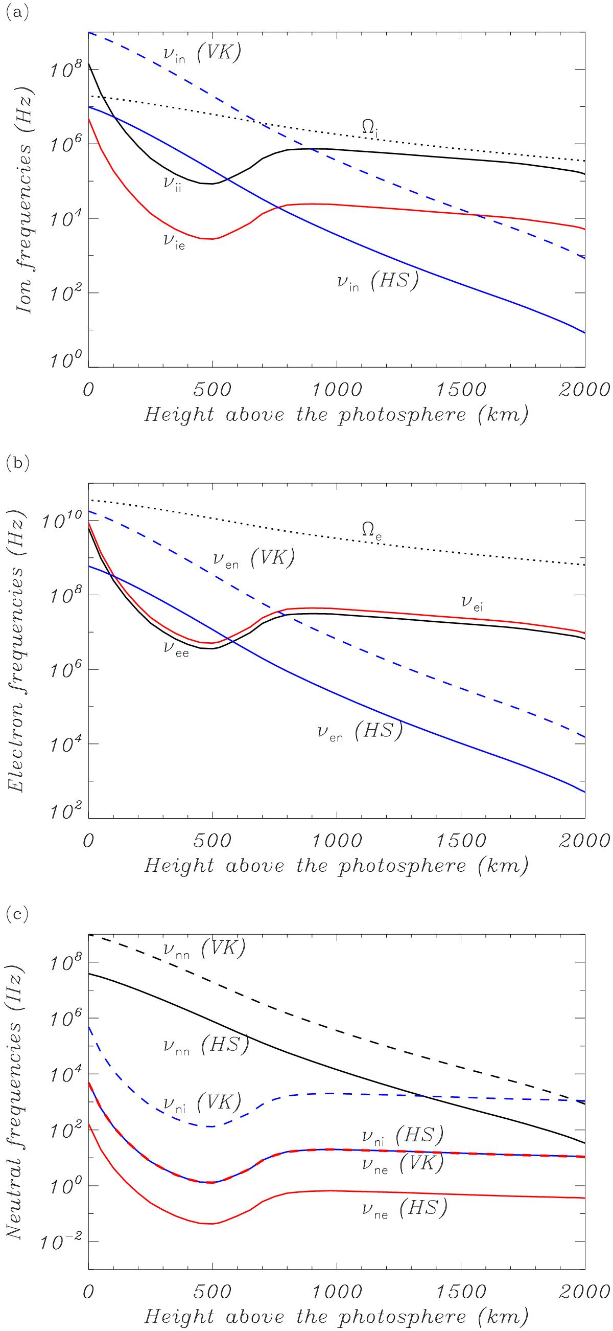
Fig. 2

Dependence on height above the solar photosphere of the collision frequencies for a) ions, b) electrons, and c) neutrals. HS and VK denote collision frequencies with neutrals computed with the hard sphere cross sections and the Vranjes & Krstic (2013) cross sections, respectively. In panels a) and b), Ωi and Ωe denote the ion and electron cyclotron frequencies, respectively.
Current usage metrics show cumulative count of Article Views (full-text article views including HTML views, PDF and ePub downloads, according to the available data) and Abstracts Views on Vision4Press platform.
Data correspond to usage on the plateform after 2015. The current usage metrics is available 48-96 hours after online publication and is updated daily on week days.
Initial download of the metrics may take a while.