Free Access
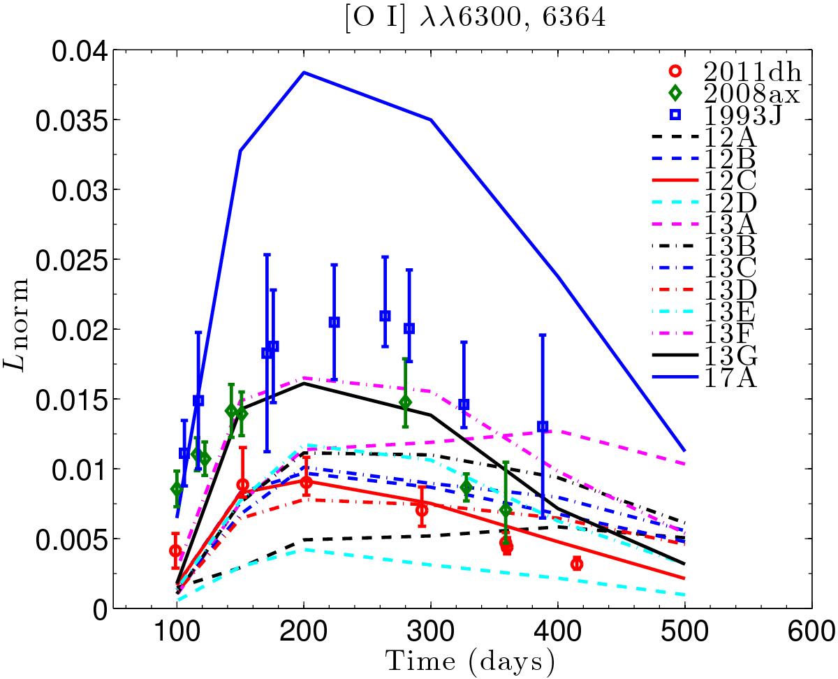
Fig. 15

Luminosity in [O I] λλ6300, 6364 normalized to the total 56Co decay power (see Eq. (1)) for SN 1993J, SN 2008ax, and SN 2011dh, and in the models.
Current usage metrics show cumulative count of Article Views (full-text article views including HTML views, PDF and ePub downloads, according to the available data) and Abstracts Views on Vision4Press platform.
Data correspond to usage on the plateform after 2015. The current usage metrics is available 48-96 hours after online publication and is updated daily on week days.
Initial download of the metrics may take a while.