Free Access
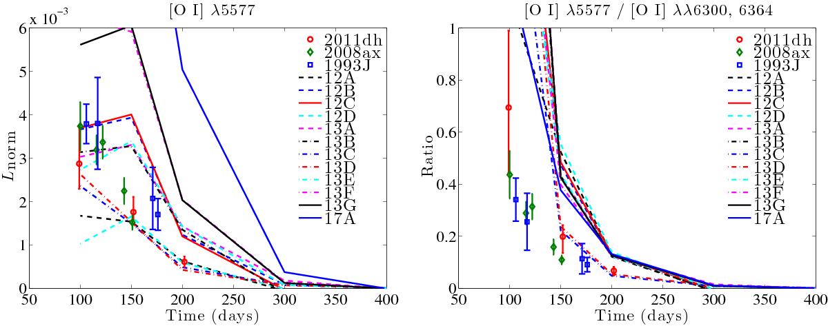
Fig. 17

Left: luminosity in [O I] λ5577 relative to the 56Co decay power in the models and in SN 1993J, SN 2008ax, and SN 2011dh. Right: [O I] λ5577/[O I] λλ6300, 6364 line ratio.
This figure is made of several images, please see below:
Current usage metrics show cumulative count of Article Views (full-text article views including HTML views, PDF and ePub downloads, according to the available data) and Abstracts Views on Vision4Press platform.
Data correspond to usage on the plateform after 2015. The current usage metrics is available 48-96 hours after online publication and is updated daily on week days.
Initial download of the metrics may take a while.