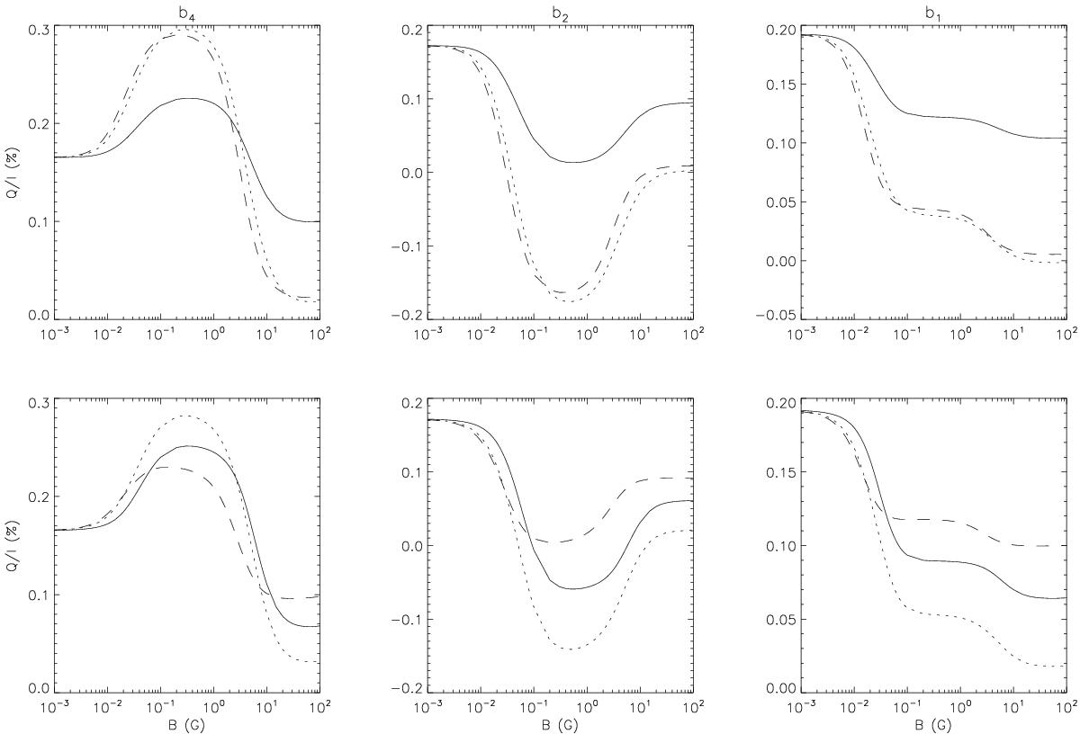
Fig. 5

Variation of the emergent Q/I amplitudes with magnetic field vector at the line cores of the Mg I triplet calculated at μ = 0.1. The lines in the top panels are obtained with the magnetic azimuth χB = 90°, and those in the bottom panels with the azimuth χB = 0°. The solid, dotted, and dashed lines result from the magnetic inclination of 30°, 60°, and 90°, respectively. The other parameters are the same as those producing Fig. 4.
Current usage metrics show cumulative count of Article Views (full-text article views including HTML views, PDF and ePub downloads, according to the available data) and Abstracts Views on Vision4Press platform.
Data correspond to usage on the plateform after 2015. The current usage metrics is available 48-96 hours after online publication and is updated daily on week days.
Initial download of the metrics may take a while.