Free Access
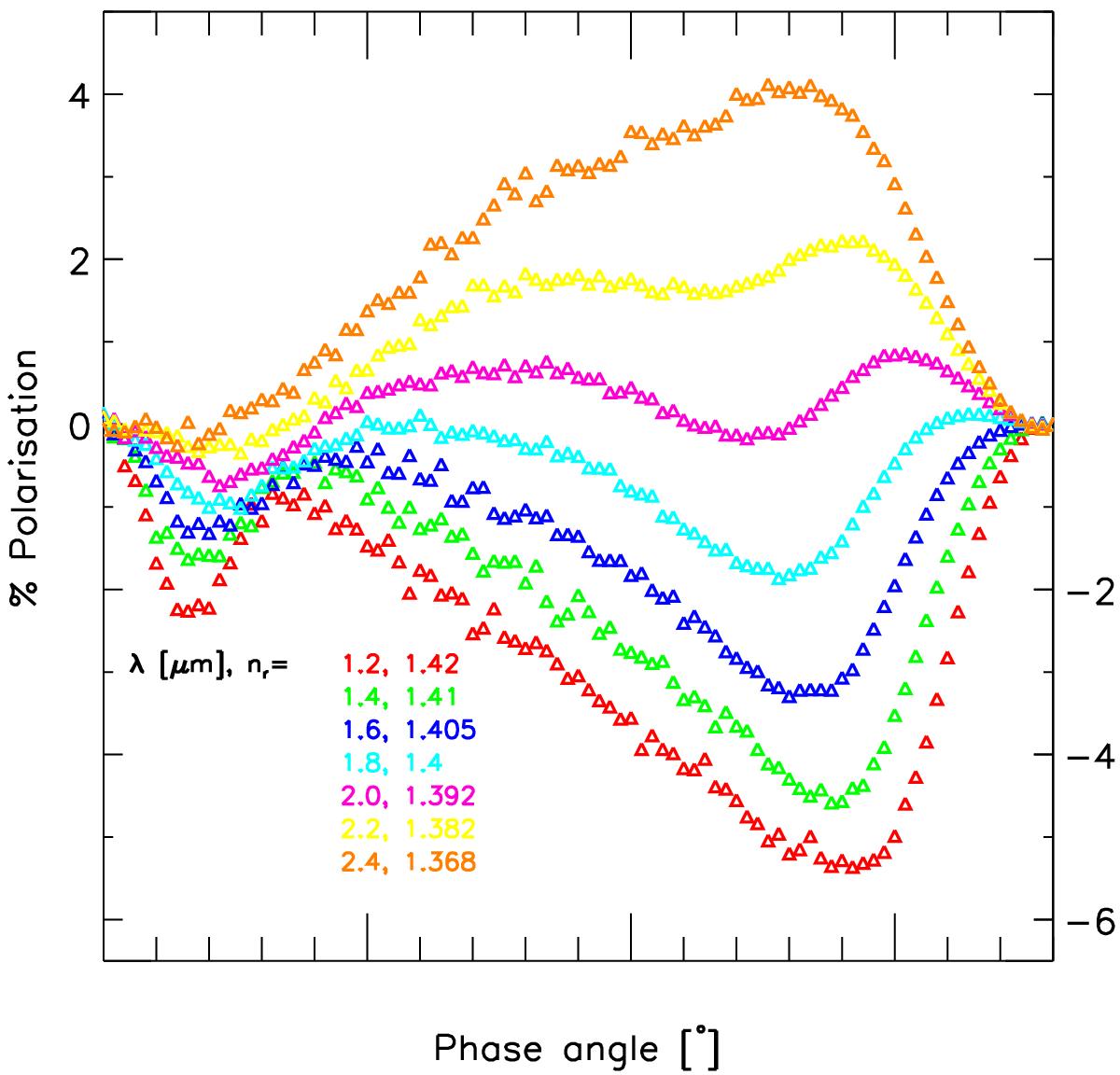
Fig. 13

Polarisation phase curves for Venus calculated with our PBMC algorithm with
=105 at near-infrared
wavelengths for a H2SO4/H2O dilution at 75%. We adopted a single scattering
albedo of 1 in all cases. nr is the
refractive index in each case.
Current usage metrics show cumulative count of Article Views (full-text article views including HTML views, PDF and ePub downloads, according to the available data) and Abstracts Views on Vision4Press platform.
Data correspond to usage on the plateform after 2015. The current usage metrics is available 48-96 hours after online publication and is updated daily on week days.
Initial download of the metrics may take a while.