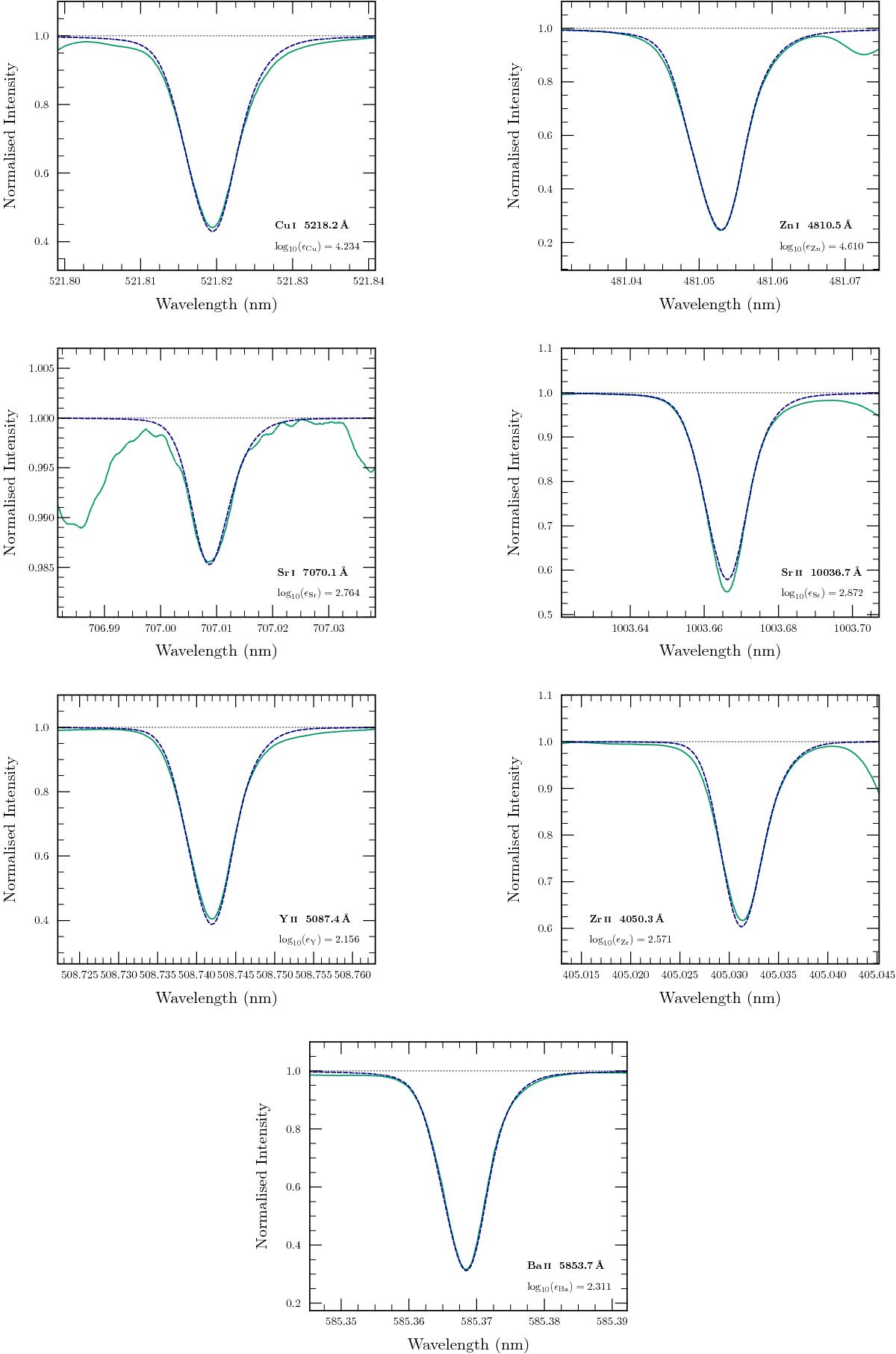
Fig. 1

Example spatially and temporally averaged, disc-centre synthesised line profiles (blue dashed), shown in comparison to the observed FTS profile (solid green). The solar gravitational redshift was removed from the FTS spectrum. The synthesised profiles have been convolved with an instrumental sinc function and fitted in abundance; wavelength and intensity normalisations have been adjusted for display purposes. Note that the plotted profiles are the 3D LTE ones, whereas the quoted abundance in each panel accounts also for the predicted 1D NLTE correction (if available).
Current usage metrics show cumulative count of Article Views (full-text article views including HTML views, PDF and ePub downloads, according to the available data) and Abstracts Views on Vision4Press platform.
Data correspond to usage on the plateform after 2015. The current usage metrics is available 48-96 hours after online publication and is updated daily on week days.
Initial download of the metrics may take a while.