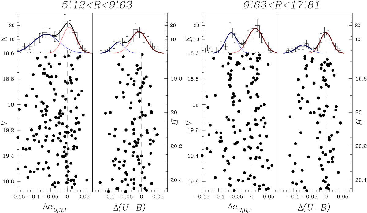
Fig. 14

Color distribution analysis for the MSs stars of NGC 6121 in two different radial bin, containing almost the same number (754 and 755) of stars. In the inner field (left panels) we found that rMS and bMS contain 42 ± 20% and 58 ± 20% of MS stars, respectively, in the V versus cU,B,I CMD, and 73 ± 16% and 27 ± 17% of MS stars, respectively, in the B versus (U − B) CMD. In the outer field (right panels) we found that rMS and bMS contain 62 ± 6% and 38 ± 7% of MS stars, respectively, in the V versus cU,B,I CMD, and 67 ± 6% and 33 ± 9% of MS stars, respectively, in the B versus (U − B) CMD.
Current usage metrics show cumulative count of Article Views (full-text article views including HTML views, PDF and ePub downloads, according to the available data) and Abstracts Views on Vision4Press platform.
Data correspond to usage on the plateform after 2015. The current usage metrics is available 48-96 hours after online publication and is updated daily on week days.
Initial download of the metrics may take a while.